М
Молодежь
К
Компьютеры-и-электроника
Д
Дом-и-сад
С
Стиль-и-уход-за-собой
П
Праздники-и-традиции
Т
Транспорт
П
Путешествия
С
Семейная-жизнь
Ф
Философия-и-религия
Б
Без категории
М
Мир-работы
Х
Хобби-и-рукоделие
И
Искусство-и-развлечения
В
Взаимоотношения
З
Здоровье
К
Кулинария-и-гостеприимство
Ф
Финансы-и-бизнес
П
Питомцы-и-животные
О
Образование
О
Образование-и-коммуникации
kudinovakarina27
kudinovakarina27
11.12.2020 23:57 •  Математика

Два лыжника, находясь друг от друга на расстоянии 6км, вышли одновременно навстречу друг другу и через15мин встретились. когда же они вышли из одного пункта в одном направлении, то через 50мин один отстал от другого на 5км. чему равна скорость каждого лыжника?

👇
Ответ:
amelkonatasha
amelkonatasha
11.12.2020
За 50 минут один обогнал второго на 5 км. Значит, за 10 мин обгонит на 1 км. То есть, скорость первого на 6 км/ч больше скорости второго.
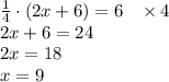
Пусть скорость второго x км/ч, тогда скорость первого x+6 км/ч. Скорость сближения x+x+6 = 2x+6 км/ч. За 15 мин или 1/4 часа вместе км.
\frac14\cdot(2x+6)=6\;\;\;\times4\\2x+6=24\\2x=18\\x=9
Скорость одного лыжника 9 км/ч, второго 9+6 = 15 км/ч.
4,5(17 оценок)
Открыть все ответы
Ответ:
g3force
g3force
11.12.2020

ответ:

1.   15×2.5=37.5

11×3.4=37.4

37.5+37.4=74.9

пошаговое объяснение:

2.     х - телевизоров на втором складе

3х - телевизоров на первом складе . из условия имеем : 3х - 20 = х + 14

3х - х = 14 + 20

2х = 34

х = 34 / 2

х = 17 телевизоров было в начале на втором складе

3х = 3 * 17 = 51 телевизоров было в начале на первом складе

3.  

х+2=2х+0,5

-х=-1,5

х=1,5

в корзине было 1,5кг винограда

4.    

за х обозначим кол-во деталей, которое изготавливает ученик в час, тогда: (х+12) деталей в час изготавливает мастер. составим уравнение: 2*(х+12)=6х

в итоге получаем х=6, значит мастер изготавливает 6+12=18 деталей/час

подробнее - на -

4,5(23 оценок)
Ответ:

ответ:

1.   15×2.5=37.5

11×3.4=37.4

37.5+37.4=74.9

пошаговое объяснение:

2.     х - телевизоров на втором складе

3х - телевизоров на первом складе . из условия имеем : 3х - 20 = х + 14

3х - х = 14 + 20

2х = 34

х = 34 / 2

х = 17 телевизоров было в начале на втором складе

3х = 3 * 17 = 51 телевизоров было в начале на первом складе

3.  

х+2=2х+0,5

-х=-1,5

х=1,5

в корзине было 1,5кг винограда

4.    

за х обозначим кол-во деталей, которое изготавливает ученик в час, тогда: (х+12) деталей в час изготавливает мастер. составим уравнение: 2*(х+12)=6х

в итоге получаем х=6, значит мастер изготавливает 6+12=18 деталей/час

подробнее - на -

4,7(55 оценок)
Это интересно:
Новые ответы от MOGZ: Математика
logo
Вход Регистрация
Что ты хочешь узнать?
Спроси Mozg
Открыть лучший ответ