М
Молодежь
К
Компьютеры-и-электроника
Д
Дом-и-сад
С
Стиль-и-уход-за-собой
П
Праздники-и-традиции
Т
Транспорт
П
Путешествия
С
Семейная-жизнь
Ф
Философия-и-религия
Б
Без категории
М
Мир-работы
Х
Хобби-и-рукоделие
И
Искусство-и-развлечения
В
Взаимоотношения
З
Здоровье
К
Кулинария-и-гостеприимство
Ф
Финансы-и-бизнес
П
Питомцы-и-животные
О
Образование
О
Образование-и-коммуникации
dina15777
dina15777
10.10.2021 22:57 •  Математика

Решите уравнение (х + 10)2 = (2 − х)2.

👇
Ответ:
Luuna0111
Luuna0111
10.10.2021
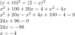
(x+10) ^{2} =(2-x) ^{2} \\ x^{2} +100+20x=4+ x^{2} -4x \\ x^{2} +20x- x^{2} +4x+100-4=0 \\ 24x+96=0 \\ 24x=-96 \\ x=-4
4,7(52 оценок)
Ответ:
dashusha0703
dashusha0703
10.10.2021
Формула:  \sqrt{a^2}=|a| .
Поэтому

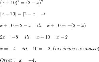
(x+10)^2=(2-x)^2\\\\|x+10|=|2-x|\; \; \to \\\\x+10=2-x\; \; \; \; ili\; \; \; \; x+10=-(2-x)\\\\2x=-8\; \; \; \; \; ili\; \; \; \; \; x+10=x-2\\\\x=-4\; \; \; \; \; ili\; \; \; \; 10=-2\; \; (nevernoe\; ravenstvo)\\\\Otvet:\; \; x=-4.
4,5(15 оценок)
Открыть все ответы
Ответ:
Луноцапка
Луноцапка
10.10.2021

Тәулігіне 0,35мм есептейтін болсақ

0,35×365=127.75

0,35×365=127.75

0,35×365=127.75

0,35×366=128.1 төрт жылда бір рет келеді ( 29-шы ақпан).

127.75×3+128.1=511.35

511.35 мм= 51см 1.35мм = 5дм 1см 1.35мм

Жауабы:

Сантиметр мен өлшегенде: 51см 1.35мм

Дециметрмен өлшегенде: 5дм 1см 1.35мм

Тәулігіне 0,4мм есептейтін болсақ:

0,4×365=146

0,4×365=146

0,4×365=146

0,4×366=146,4 төрт жылда бір рет келеді ( 29-шы ақпан).

146×3+146,4=584,4

584,4мм = 58см 4,4мм = 5дм 8см 4,4мм

Жауабы:

Сантиметр мен өлшегенде:58см 4,4мм

Дециметрмен өлшегенде:5дм 8см 4,4мм

4,8(68 оценок)
Ответ:
arslando
arslando
10.10.2021

Пошаговое объяснение:

1) Выполним действие деление и получим результат:

0,38 / 0,1 = 3,8;

2). Выполним действие деление и получим результат:

295 / 100 = 2,95;

3). Выполним действие умножение и получим результат:

0,00164 * 10000 = 164;

4). Выполним действие вычитание и получим результат:

3,8 - 2,95 = 0,85;

5). Выполним действие сложение и получим результат:

0,85 + 164 = 164,85;

6). Выполним действие умножение и получим результат:

164,85 * 0,1 = 16,485;

7). Выполним действие умножение и получим результат:

7,5 * 0,01 = 0,075;

8). Окончательный результат будет равен:

16,485 + 0,075 = 16,56.

ответ: (0,38 / 0,1 - 295 / 100 + 0,00164 * 10000) * 0,1 + 7,5 * 0,01 = 16,56.

4,4(68 оценок)
Это интересно:
Новые ответы от MOGZ: Математика
logo
Вход Регистрация
Что ты хочешь узнать?
Спроси Mozg
Открыть лучший ответ