М
Молодежь
К
Компьютеры-и-электроника
Д
Дом-и-сад
С
Стиль-и-уход-за-собой
П
Праздники-и-традиции
Т
Транспорт
П
Путешествия
С
Семейная-жизнь
Ф
Философия-и-религия
Б
Без категории
М
Мир-работы
Х
Хобби-и-рукоделие
И
Искусство-и-развлечения
В
Взаимоотношения
З
Здоровье
К
Кулинария-и-гостеприимство
Ф
Финансы-и-бизнес
П
Питомцы-и-животные
О
Образование
О
Образование-и-коммуникации
lЕвгешкаl
lЕвгешкаl
19.04.2021 13:32 •  Математика

Знайти перший член арефметичної прогресії (аn) якщо а2 = 2,1 ; а різниця d =0,7

👇
Ответ:
Annamatveevvva8
Annamatveevvva8
19.04.2021
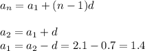
a_n=a_1+(n-1)d\\ \\ a_2=a_1+d\\ a_1=a_2-d=2.1-0.7=1.4
4,7(92 оценок)
Ответ:
ПакЧимин111
ПакЧимин111
19.04.2021
A₂=2,1
d=0,7
a₁-?
a₂=a₁+d
2,1=a₁+0,7
a₁=2,1-0,7=1,4
4,8(22 оценок)
Открыть все ответы
Ответ:
NoName2281111
NoName2281111
19.04.2021
Коллекционирование - увлекательное занятие, которое может длиться всю жизнь. Чего только не собирают люди, начиная от разных билетиков. крышечек, пуговиц и заканчивая картинами, статуями, техническими устройствами. машинами. Объем коллекции зависит от упорства коллекционера и, конечно, от его доходов. Но иногда и не самая дорогая коллекция становится дорогой, если она интересна для того, кто собирает. А если она еще интересна и другим людям, то такая коллекция может стать бесценной.
С того момента. как появилась первая марка, вероятно, появились и первые филателисты. Кстати, первые в истории марки, названные «Чёрный пенни», были выпущены в 1840 году в Великобритании. Значит, истории филателии около 300 лет. Каких только марок не выпустили за это время в разных странах. И материал для марок выбирался самый различный: бумага и шелк, , дерево и металл, пластик и фарфор. Формы тоже были различные, не только прямоугольные, но и круглые, овальные, треугольные и даже формой повторяющие очертания страны. Но, конечно, для тех, кто выпускает и кто собирает марки, самое интересное -это то, что изображено на самой марке. Поэтому филателисты стараются выбрать определенные темы для создания коллекции, например, страны, города, исторические события, великие люди, животный, растительный мир, спорт, праздники, транспорт, награды и другие.
Если марки выпускаются к какому-то событию, то, чем дальше это событие, тем ценнее становится марка. И спустя десятки. а то и сотни лет потомки филателиста смогут узнать, чем жили и чему радовались их деды и прадеды. Маленький кусочек бумаги - не просто картинка. Это - рассказ о о чем-то или о ком-то. Причем, рассказ в картинках. Когда человек собирает тематическую коллекцию, он ищет необходимую информацию, роется к в книгах и интернете, беседует с такими же коллекционерами и продавцами филателистических магазинов. И все это с целью сделать свою коллекцию полной. А потом возникает идея собрать другую коллекцию. И начинается новая гонка. Филателия иногда становится делом всей жизни, увлечением, которое дарит страсть к познанию, украшает мир разными красками даже когда человек состарится. Коллекционирование марок расширяет кругозор и круг общения сделать жизнь интересной,
4,5(39 оценок)
Ответ:
Коллекционирование - увлекательное занятие, которое может длиться всю жизнь. Чего только не собирают люди, начиная от разных билетиков. крышечек, пуговиц и заканчивая картинами, статуями, техническими устройствами. машинами. Объем коллекции зависит от упорства коллекционера и, конечно, от его доходов. Но иногда и не самая дорогая коллекция становится дорогой, если она интересна для того, кто собирает. А если она еще интересна и другим людям, то такая коллекция может стать бесценной.
С того момента. как появилась первая марка, вероятно, появились и первые филателисты. Кстати, первые в истории марки, названные «Чёрный пенни», были выпущены в 1840 году в Великобритании. Значит, истории филателии около 300 лет. Каких только марок не выпустили за это время в разных странах. И материал для марок выбирался самый различный: бумага и шелк, , дерево и металл, пластик и фарфор. Формы тоже были различные, не только прямоугольные, но и круглые, овальные, треугольные и даже формой повторяющие очертания страны. Но, конечно, для тех, кто выпускает и кто собирает марки, самое интересное -это то, что изображено на самой марке. Поэтому филателисты стараются выбрать определенные темы для создания коллекции, например, страны, города, исторические события, великие люди, животный, растительный мир, спорт, праздники, транспорт, награды и другие.
Если марки выпускаются к какому-то событию, то, чем дальше это событие, тем ценнее становится марка. И спустя десятки. а то и сотни лет потомки филателиста смогут узнать, чем жили и чему радовались их деды и прадеды. Маленький кусочек бумаги - не просто картинка. Это - рассказ о о чем-то или о ком-то. Причем, рассказ в картинках. Когда человек собирает тематическую коллекцию, он ищет необходимую информацию, роется к в книгах и интернете, беседует с такими же коллекционерами и продавцами филателистических магазинов. И все это с целью сделать свою коллекцию полной. А потом возникает идея собрать другую коллекцию. И начинается новая гонка. Филателия иногда становится делом всей жизни, увлечением, которое дарит страсть к познанию, украшает мир разными красками даже когда человек состарится. Коллекционирование марок расширяет кругозор и круг общения сделать жизнь интересной,
4,6(14 оценок)
Новые ответы от MOGZ: Математика
Полный доступ к MOGZ
Живи умнее Безлимитный доступ к MOGZ Оформи подписку
logo
Вход Регистрация
Что ты хочешь узнать?
Спроси Mozg
Открыть лучший ответ