М
Молодежь
К
Компьютеры-и-электроника
Д
Дом-и-сад
С
Стиль-и-уход-за-собой
П
Праздники-и-традиции
Т
Транспорт
П
Путешествия
С
Семейная-жизнь
Ф
Философия-и-религия
Б
Без категории
М
Мир-работы
Х
Хобби-и-рукоделие
И
Искусство-и-развлечения
В
Взаимоотношения
З
Здоровье
К
Кулинария-и-гостеприимство
Ф
Финансы-и-бизнес
П
Питомцы-и-животные
О
Образование
О
Образование-и-коммуникации
nikitaerm45nikita
nikitaerm45nikita
26.07.2020 16:59 •  Математика

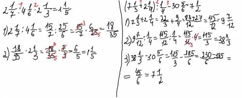
Решите 2 1/7 : 4 1/6 * 2 1/3; (7 1/3 + 2 1/4) : 1/4 - 30 5/6

👇
Ответ:
burgerface
burgerface
26.07.2020
Решение прикреплено...........................
Решите 2 1/7 : 4 1/6 * 2 1/3; (7 1/3 + 2 1/4) : 1/4 - 30 5/6
4,7(63 оценок)
Ответ:
papulova03
papulova03
26.07.2020
2 \frac{1}{7} :4 \frac{1}{6} *2 \frac{1}{3} = \frac{15}{7} : \frac{25}{6} * \frac{7}{3} = \frac{15*6*7}{7*25*3}= \frac{6}{5}=1 \frac{1}{5}
(7 \frac{1}{3} +2 \frac{1}{4} ): \frac{1}{4} -30 \frac{5}{6} =( \frac{22}{3} + \frac{9}{4}): \frac{1}{4} - \frac{185}{6} =( \frac{22*4+9*3}{12}): \frac{1}{4}- \frac{185}{6} = \\ 
 =\frac{115*4}{12*1} - \frac{185}{6}= \frac{115}{3} - \frac{185}{6} = \frac{115*2-185}{6} = \frac{45}{6}= \frac{15}{2} =7 \frac{1}{2}
4,7(76 оценок)
Открыть все ответы
Ответ:
daniilf02mail
daniilf02mail
26.07.2020
Х- скорость первого велосипедиста
у - скорость второго велосипедиста , из условия задачи имеем :
36/у -36/х = 36/60 , левую и правую часть уравнения умножим  на 10*ху , получим
360х - 360у= 6 ху         60х - 60у = 1 ху
2*х - 2*у =6         х - у = 3       х = у + 3 , подставим в первое уравнение , получим
60(у + 3) - 60у = 1 (у+3)*у       60у + 180 - 60у  = у^2 + 3у     y^2 +3y -180 =0 . Найдем дискриминант уравнения = 3*3 - 4*1*(-180) =9 + 720 = 729 . Найдем корень квадратный из дискриминанта . Он равен = 27 . Найдем корни уравнения  : 1-ый = (- 3 + 27)/ 2*1 = 24/ 2 = 12 ;  2-ой = (-3 -27) / 2*1 = -30 / 2 = -15 . Второй корень не подходит так как скорость не может быть меньше 0 . отсюда скорость второго велосипедиста равна = 12 км/ч . Из второго уравнения : х = у + 3 , найдем скорость первого велосипедиста = 12 + 3 = 15 км/ч
4,5(65 оценок)
Ответ:
Angelim
Angelim
26.07.2020
Х- скорость пешехода из А
у- Скорость пешехода из В , из условия задачи имеем :
(х + у ) -столько проходят оба пешехода за 1 час
27/(х+ у) = 3     27 = 3(х+ у)        9 = х + у       х = 9 - у   
27/у - 27/х = 1 21/60         27/у - 27/х = 81/60      1/у - 1/х =3/60    1/у -1/х = 1/20 , умножим на 20ху  , получим    20х -20у = ху  , полученное значение х из первого уравнения подставим во второе уравнение : 20(9 - у) -20у = (9 - у) * у
180 -20у -20у = 9у - у^2        y^2 -49y +180 =0    , найдем дискриминант уравнения = 49*49 - 4*1*180  =  2401- 720 = 1681 .Найдем корень квадратный из дискриминанта . Он равен =41 . Найдем корни уравнения : 1-ый = (-(-49)+41)/2*1 = 90/2 = 45       2-ой = (-(-49)-41) /2*1 = 8/2= 4 . Первый корень не подходит  :  слишком большая скорость для пешехода . Значит скорость пешехода из В ровна = 4км/ч .Из первого уравнения найдем скорость пешехода из А,она равна=  х= 9 -у 
= 9-4 = 5 км/ч
4,7(92 оценок)
Это интересно:
Новые ответы от MOGZ: Математика
logo
Вход Регистрация
Что ты хочешь узнать?
Спроси Mozg
Открыть лучший ответ