М
Молодежь
К
Компьютеры-и-электроника
Д
Дом-и-сад
С
Стиль-и-уход-за-собой
П
Праздники-и-традиции
Т
Транспорт
П
Путешествия
С
Семейная-жизнь
Ф
Философия-и-религия
Б
Без категории
М
Мир-работы
Х
Хобби-и-рукоделие
И
Искусство-и-развлечения
В
Взаимоотношения
З
Здоровье
К
Кулинария-и-гостеприимство
Ф
Финансы-и-бизнес
П
Питомцы-и-животные
О
Образование
О
Образование-и-коммуникации
teacupbunnies1
teacupbunnies1
30.05.2023 16:50 •  Математика

3.43. верно ли, что взаимно обратны числа: 6)12,5 и 4/5.

👇
Ответ:
RedSakura
RedSakura
30.05.2023
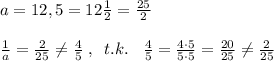
Числа a\; и \frac{1}{a}\; взаимно-oбратны .
Выполняется равенство a\cdot \frac{1}{a}=1 .

a=12,5=12\frac{1}{2}=\frac{25}{2}\\\\\frac{1}{a}=\frac{2}{25}\ne \frac{4}{5}\; ,\; \; t.k.\; \; \; \frac{4}{5}=\frac{4\cdot 5}{5\cdot 5}=\frac{20}{25}\ne \frac{2}{25}

Данные числа не взаимно-обратны.
4,7(96 оценок)
Открыть все ответы
Ответ:
A=3a+x
A=18b+y
A=24c+z
x, y, z — остатки
a, b, c — неполные частные
(Т.к. Например, если 7:3, получится 2 и 1 в остатке, 7=3*2+1)
x+y+z=21
Вычитаем из третьего уравнения второе:
A-A=(24c+z)-(18b+y)
0=z-y+6*4c-6*3b
6*(4c-3b)=y-z
6 — чётное число, а значит значение левой части будет чётным ( любое число, умноженое на чётное, чётное). Раз слева получается чётное, то справа тоже, т.к. они равны. Раз y-z чётное, то y+z также чётное. 21 — нечётное, а значит, если 21-(y+z) получится, что x — нечётное.
Остаток при деление на 3 равен либо 1, либо 2, нечётное из них только 1.
ответ: 1
4,8(57 оценок)
Ответ:
alexandrasharapova
alexandrasharapova
30.05.2023
A=3a+x
A=18b+y
A=24c+z
x, y, z — остатки
a, b, c — неполные частные
(Т.к. Например, если 7:3, получится 2 и 1 в остатке, 7=3*2+1)
x+y+z=21
Вычитаем из третьего уравнения второе:
A-A=(24c+z)-(18b+y)
0=z-y+6*4c-6*3b
6*(4c-3b)=y-z
6 — чётное число, а значит значение левой части будет чётным ( любое число, умноженое на чётное, чётное). Раз слева получается чётное, то справа тоже, т.к. они равны. Раз y-z чётное, то y+z также чётное. 21 — нечётное, а значит, если 21-(y+z) получится, что x — нечётное.
Остаток при деление на 3 равен либо 1, либо 2, нечётное из них только 1.
ответ: 1
4,6(14 оценок)
Это интересно:
Новые ответы от MOGZ: Математика
logo
Вход Регистрация
Что ты хочешь узнать?
Спроси Mozg
Открыть лучший ответ