М
Молодежь
К
Компьютеры-и-электроника
Д
Дом-и-сад
С
Стиль-и-уход-за-собой
П
Праздники-и-традиции
Т
Транспорт
П
Путешествия
С
Семейная-жизнь
Ф
Философия-и-религия
Б
Без категории
М
Мир-работы
Х
Хобби-и-рукоделие
И
Искусство-и-развлечения
В
Взаимоотношения
З
Здоровье
К
Кулинария-и-гостеприимство
Ф
Финансы-и-бизнес
П
Питомцы-и-животные
О
Образование
О
Образование-и-коммуникации
tonplaton
tonplaton
20.03.2022 14:06 •  Математика

Найдите количество корней уравнения sin2x-cos2x=1 принадлежащих промежутку [-пи: пи/3]

👇
Ответ:
котя277
котя277
20.03.2022

Используя формулу дополнительного угла, мы получим

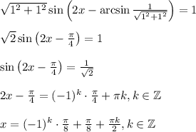
\sqrt{1^2+1^2}\sin\left(2x-\arcsin\frac{1}{\sqrt{1^2+1^2}}\right)=1\\ \\ \sqrt{2}\sin\left(2x-\frac{\pi}{4}\right)=1\\ \\ \sin\left(2x-\frac{\pi}{4}\right)=\frac{1}{\sqrt{2}}\\ \\ 2x-\frac{\pi}{4}=(-1)^k\cdot\frac{\pi}{4}+\pi k,k \in \mathbb{Z}\\ \\ x=(-1)^k\cdot\frac{\pi}{8}+\frac{\pi}{8}+\frac{\pi k}{2},k \in \mathbb{Z}

Отбор корней, принадлежащие [-π; π/3]

k = 0:  x = π/4

k = -1:  x = -π/2

k = -2: x = π/8 + π/8 - π = π/4 - π = -3π/4

Количество корней: 3.

4,5(33 оценок)
Ответ:
akyngazy96
akyngazy96
20.03.2022

Есть формулы универсальной подстановки. Используем их.

Sin2x - Cos2x = 1

2tgx/(1 + tg²x) - (1 - tg²x)/(1 + tg²x) = 1 |*(1 + tg²x)≠0

2tgx -(1 - tg²x) =(1 + tg²x)

2tgx -1 + tg²x-1 - tg²x = 0

2tgx = 2

tgx = 1

x = arc tg1 + πk , k ∈Z

x = π/4 + πk , k ∈Z

В промежуток [-π; π/]  попадают корни -3π/4 и π/4

4,5(90 оценок)
Открыть все ответы
Ответ:
dizi17
dizi17
20.03.2022
Можно составить диаграмму "Девочки-мальчики". Например, в классе обучаются 17 девочек и 13 мальчиков.
Диаграмма "Сферы общественной жизни" (экономическая, политическая, духовная, социальная).
Для школьников младшего возраста есть упрощенный вариант: "В пещере поселился Кощей Бессмертный. За 100 лет его пытались прогнать 8 царевичей, 5 королевичей,  5 рыцарей и 2 Бабы Яги. Составьте круговую диаграмму по данным."
"В классе 36 человек. Их них 5 человек едут до школы на трамвае, 7 на метро, 9 на автобусе, а остальные идут пешком?"
4,5(36 оценок)
Ответ:
sudarev2018
sudarev2018
20.03.2022
Можно составить диаграмму "Девочки-мальчики". Например, в классе обучаются 17 девочек и 13 мальчиков.
Диаграмма "Сферы общественной жизни" (экономическая, политическая, духовная, социальная).
Для школьников младшего возраста есть упрощенный вариант: "В пещере поселился Кощей Бессмертный. За 100 лет его пытались прогнать 8 царевичей, 5 королевичей,  5 рыцарей и 2 Бабы Яги. Составьте круговую диаграмму по данным."
"В классе 36 человек. Их них 5 человек едут до школы на трамвае, 7 на метро, 9 на автобусе, а остальные идут пешком?"
4,8(35 оценок)
Это интересно:
Новые ответы от MOGZ: Математика
logo
Вход Регистрация
Что ты хочешь узнать?
Спроси Mozg
Открыть лучший ответ