М
Молодежь
К
Компьютеры-и-электроника
Д
Дом-и-сад
С
Стиль-и-уход-за-собой
П
Праздники-и-традиции
Т
Транспорт
П
Путешествия
С
Семейная-жизнь
Ф
Философия-и-религия
Б
Без категории
М
Мир-работы
Х
Хобби-и-рукоделие
И
Искусство-и-развлечения
В
Взаимоотношения
З
Здоровье
К
Кулинария-и-гостеприимство
Ф
Финансы-и-бизнес
П
Питомцы-и-животные
О
Образование
О
Образование-и-коммуникации
DANIL79NR
DANIL79NR
29.09.2021 09:46 •  Математика

1)средняя линия трапеции равна 33 , а меньшее основание равно 25 . найди большее основание ")одно из оснований трапеции больше другого на 18 , а ее средняя линия равна 7 . найди большее основание

👇
Ответ:
toriblinova
toriblinova
29.09.2021
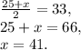
1) х - большее основание
\frac{25+x}{2} = 33, \\ 25+x = 66, \\ x = 41.

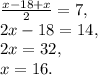
2)  х - большее основание
\frac{x-18+x}{2} = 7, \\ 2x-18 = 14, \\ 2x = 32, \\ x = 16.
4,6(71 оценок)
Открыть все ответы
Ответ:
kolodenkoa444
kolodenkoa444
29.09.2021
1) C) 729
2) B) 7
3) D) 5
4) Нет дробей
5) Нет дробей
6) Нет выражения
7) Нет выражения
8) Нет чисел
9) С) 160*0,8 = 16*8 = 128
10) Маша - 13,8; Света - 13,8/1,5 = 138/15 = 9,2; Катя - 9,2 + 2,1 = 11,3.
У всех троих B) 13,8 + 9,2 + 11,3 = 34,3
11) Нет выражения
12) C) 720*1,03 = 741,6
13) Нет выражения
14) При сушке остается 0,15 массы картофеля.
B) x = 240/0,15 = 1600 т
15) Четное число должно кончаться на 0 или на 6.
На 1 месте (тысячи) могут стоять цифры 1, 3, 6, 9 - 4 варианта.
На 2 месте (сотни) могут стоять 0, 1, 3, 6, 9 - 5 вариантов.
На 3 месте (десятки) могут стоять 0, 1, 3, 6, 9 - 5 вариантов.
На 4 месте (единицы) могут стоять 0 или 6 - 2 варианта.
C) Всего 4*5*5*2 = 200 вариантов
4,4(57 оценок)
Ответ:
annaglukhikh07
annaglukhikh07
29.09.2021

ответ:находим площадь одной части на которые разбит прямоугольник. Т. к. стороны разделены на 4 части, длинна стороны одной части будет равна 1/4 всего прямоугольника. Значит одна сторона малой части будет равна 1/4от 20см=5см, другая будет равна 1/4 от 40 см=10см. Площадь малой части будет равна 5*10=50кв.см.

1. Всего 12 закрашенных малых частей, значит площадь закрашенных частей будет равна 12*50= 600кв.см

2. Всего 10 закрашенных малых частей, значит площадь закрашенных частей будет равна 10*50= 500кв.см

Пошаговое объяснение:

4,4(27 оценок)
Это интересно:
Новые ответы от MOGZ: Математика
logo
Вход Регистрация
Что ты хочешь узнать?
Спроси Mozg
Открыть лучший ответ