М
Молодежь
К
Компьютеры-и-электроника
Д
Дом-и-сад
С
Стиль-и-уход-за-собой
П
Праздники-и-традиции
Т
Транспорт
П
Путешествия
С
Семейная-жизнь
Ф
Философия-и-религия
Б
Без категории
М
Мир-работы
Х
Хобби-и-рукоделие
И
Искусство-и-развлечения
В
Взаимоотношения
З
Здоровье
К
Кулинария-и-гостеприимство
Ф
Финансы-и-бизнес
П
Питомцы-и-животные
О
Образование
О
Образование-и-коммуникации
perevuznik1
perevuznik1
22.03.2020 11:35 •  Математика

Не уверен в в решении .саша,коля,серёжа собрали 51 стакан малины.сережа собрал в 2 раза больше малины,чем саша,а коля на 3 стакана больше,чем саша.сколько стаканов малины собрал каждый из мальчиков?

👇
Ответ:
fgggg2qq
fgggg2qq
22.03.2020
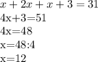
Пусть Саша собрал х стаканов малины,
тогда Сережа собрал в два раза больше чем Саша= 2*х
а Коля на 3 стакана больше чем Саша = х+3
Вместе собрали 51 стакан.
Составим уравнение:

x+2x+x+3=31

4x+3=51

4x=48

x=48:4

x=12



Саша собрал 12 стаканов

Сережа 2*12=24 стакана

Коля 12+3=15 стаканов 
4,7(55 оценок)
Открыть все ответы
Ответ:

ответ:В математике последовательность обозначают маленькой латинской буквой, а каждый отдельный ее элемент – той же буквой с числовым индексом равным порядковому номеру этого элемента.

То есть, если последовательность  

3

;

6

;

12

;

24

;

48

обозначить как  

a

n

, то можно записать, что  

a

1

=

3

,  

a

2

=

6

,  

a

3

=

12

,  

a

4

=

24

и так далее.

Пошаговое объяснение:Иными словами, для последовательности  

a

n

=

{

3

;

6

;

12

;

24

;

48

;

96

;

192

;

384

}

.

порядковый номер элемента

1

2

3

4

5

6

7

8

обозначение элемента

a

1

a

2

a

3

a

4

a

5

a

6

a

7

a

8

значение элемента

3

6

12

24

48

96

192

384

4,6(31 оценок)
Ответ:
ddurua
ddurua
22.03.2020
1.1)20+2x=20+2                                                                                                               2x=20+2-20                                                                                                                  2x=2                                                                                                                             x=1                                                                                                                             2)24a-24a=10                                                                                                                1a=10                                                                                                                           a=10\1                                                                                                                        a=10
4,7(86 оценок)
Это интересно:
Новые ответы от MOGZ: Математика
logo
Вход Регистрация
Что ты хочешь узнать?
Спроси Mozg
Открыть лучший ответ