М
Молодежь
К
Компьютеры-и-электроника
Д
Дом-и-сад
С
Стиль-и-уход-за-собой
П
Праздники-и-традиции
Т
Транспорт
П
Путешествия
С
Семейная-жизнь
Ф
Философия-и-религия
Б
Без категории
М
Мир-работы
Х
Хобби-и-рукоделие
И
Искусство-и-развлечения
В
Взаимоотношения
З
Здоровье
К
Кулинария-и-гостеприимство
Ф
Финансы-и-бизнес
П
Питомцы-и-животные
О
Образование
О
Образование-и-коммуникации
katy247
katy247
19.02.2022 14:06 •  Математика

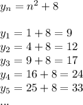
По заданной формуле n-го члена вычислите первые пять членов последовательности: yn=n^2+8,

👇
Ответ:
yarik28032001
yarik28032001
19.02.2022
y_n=n^2+8\\\\y_1 = 1+8=9\\y_2=4+8 = 12\\y_3=9+8=17\\y_4=16+8=24\\y_5=25+8=33\\...
4,4(53 оценок)
Открыть все ответы
Ответ:
vitaly10
vitaly10
19.02.2022

В решении.

Пошаговое объяснение:

Работа практическая, поэтому надо подготовить предметы и произвести аккуратно измерения

1) Предмет Чашка.

а) измерить гибким сантиметром (применяют, когда шьют что-то, и делают замеры длины, ширины). Или взять верёвочку, измерить длину окружности чашки, потом приложить к линейке верёвочку.

У меня С (длина окружности) = 42 см.

б) Измерить диаметр чашки. D = 13,4 см.

в) Разделить C на D, получим примерное число π, которое равно 3,141592653589793238462643, но в домашних условиях, конечно, такой точности не добиться, поэтому в первом опыте:

π = C/D = 42/13,4 ≈ 3,13432835 ≈ 3,13;

2) Предмет Кружка.

Измерения такие же.

С = 25,8 см

D = 8,2 см

π = C/D = 25,8/8,2 ≈ 3,14634146 ≈ 3,15;

3) Предмет Стакан.

Измерения такие же.

С = 21,3 см

D = 6,8 см

π = C/D = 21,3/6,8 ≈ 3,13235294 ≈ 3,13.

4,4(73 оценок)
Ответ:
25424446645
25424446645
19.02.2022

В решении.

Пошаговое объяснение:

Работа практическая, поэтому надо подготовить предметы и произвести аккуратно измерения

1) Предмет Чашка.

а) измерить гибким сантиметром (применяют, когда шьют что-то, и делают замеры длины, ширины). Или взять верёвочку, измерить длину окружности чашки, потом приложить к линейке верёвочку.

У меня С (длина окружности) = 42 см.

б) Измерить диаметр чашки. D = 13,4 см.

в) Разделить C на D, получим примерное число π, которое равно 3,141592653589793238462643, но в домашних условиях, конечно, такой точности не добиться, поэтому в первом опыте:

π = C/D = 42/13,4 ≈ 3,13432835 ≈ 3,13;

2) Предмет Кружка.

Измерения такие же.

С = 25,8 см

D = 8,2 см

π = C/D = 25,8/8,2 ≈ 3,14634146 ≈ 3,15;

3) Предмет Стакан.

Измерения такие же.

С = 21,3 см

D = 6,8 см

π = C/D = 21,3/6,8 ≈ 3,13235294 ≈ 3,13.

4,7(55 оценок)
Это интересно:
Новые ответы от MOGZ: Математика
logo
Вход Регистрация
Что ты хочешь узнать?
Спроси Mozg
Открыть лучший ответ