М
Молодежь
К
Компьютеры-и-электроника
Д
Дом-и-сад
С
Стиль-и-уход-за-собой
П
Праздники-и-традиции
Т
Транспорт
П
Путешествия
С
Семейная-жизнь
Ф
Философия-и-религия
Б
Без категории
М
Мир-работы
Х
Хобби-и-рукоделие
И
Искусство-и-развлечения
В
Взаимоотношения
З
Здоровье
К
Кулинария-и-гостеприимство
Ф
Финансы-и-бизнес
П
Питомцы-и-животные
О
Образование
О
Образование-и-коммуникации
kacok2
kacok2
26.03.2023 08:31 •  Математика

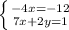
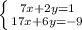
Решите систему уравнений 7х+2у=1 17х+6у=-9

👇
Ответ:
irina0208ga
irina0208ga
26.03.2023
 7х+2у=1,17х+6у=-9 ; Сложим уравнения почленно.
 Решим уравнение - 4х = - 12, 7х+2у=1;
 Подставим х=3,7х+2у=1; х=3,7·3+2у=1;
Решаем уравнение х=3,21+2у=1; х=3,2у=-20;
ответ: х=3, у=-10
4,5(86 оценок)
Ответ:
Anastasiia666
Anastasiia666
26.03.2023
\left \{ {{7x+2y=1} \atop {17x+6y=-9}} \right.\left \{ {{-21x-6y=-3} \atop {17x+6y=-9}} \right.\left \{ {{-4x=-12} \atop {7x+2y=1}} \right.\left \{ {{x=3} \atop {2y=1-7*3}} \right.\left \{ {{x=3} \atop {y=-10}} \right.
4,8(21 оценок)
Открыть все ответы
Ответ:
Anna06111
Anna06111
26.03.2023
Пусть х - скорость первого поезда, а у - скорость второго поезда, тогда первый поезд проехал весь путь за 270/х часов, а второй за 270/у часов, при этом он прибыл на 1ч 21 мин. (27/20) позже первого. Можно составить первое уравнение
270/y-270/x=27/20; 270(1/y-1/x)=27/20; 1/y-1/x=1/200
Поезда встретились через 3 часа, значит первый поезд до встречи ехал 3х км, а второй поезд ехал 3у км. Так как они двигались навстречу друг другу, то общее расстояние которое они проехали равно 270 км. Запишем второе уравнение
3х+3у=270
Можно 3 вынести за скобки: 3(х+у)=270; х+у=90
Составим систему
1/y-1/x=1/200    (x-y)/x*y=1/200   x-y=x*y/200   200(x-y)=x*y
x+y=90               x=90-y               x=90-y            

200(90-y-y)=(90-y)*y
18000-400y=90y-y²
y²-490y+18000=0
D=(-490)²-4*18000=240100-72000=410
y=(490-410)/2=40     y=(490+410)/2=450
Второй корень нам не подходит (слишком большая скорость), поэтому скорость второго поезда 40 км/ч, а второго х=90-40=50 км/ч.
4,5(68 оценок)
Ответ:
byrzakovskaya
byrzakovskaya
26.03.2023
Пусть х - скорость первого поезда, а у - скорость второго поезда, тогда первый поезд проехал весь путь за 270/х часов, а второй за 270/у часов, при этом он прибыл на 1ч 21 мин. (27/20) позже первого. Можно составить первое уравнение
270/y-270/x=27/20; 270(1/y-1/x)=27/20; 1/y-1/x=1/200
Поезда встретились через 3 часа, значит первый поезд до встречи ехал 3х км, а второй поезд ехал 3у км. Так как они двигались навстречу друг другу, то общее расстояние которое они проехали равно 270 км. Запишем второе уравнение
3х+3у=270
Можно 3 вынести за скобки: 3(х+у)=270; х+у=90
Составим систему
1/y-1/x=1/200    (x-y)/x*y=1/200   x-y=x*y/200   200(x-y)=x*y
x+y=90               x=90-y               x=90-y            

200(90-y-y)=(90-y)*y
18000-400y=90y-y²
y²-490y+18000=0
D=(-490)²-4*18000=240100-72000=410
y=(490-410)/2=40     y=(490+410)/2=450
Второй корень нам не подходит (слишком большая скорость), поэтому скорость второго поезда 40 км/ч, а второго х=90-40=50 км/ч.
4,5(50 оценок)
Это интересно:
Новые ответы от MOGZ: Математика
logo
Вход Регистрация
Что ты хочешь узнать?
Спроси Mozg
Открыть лучший ответ