М
Молодежь
К
Компьютеры-и-электроника
Д
Дом-и-сад
С
Стиль-и-уход-за-собой
П
Праздники-и-традиции
Т
Транспорт
П
Путешествия
С
Семейная-жизнь
Ф
Философия-и-религия
Б
Без категории
М
Мир-работы
Х
Хобби-и-рукоделие
И
Искусство-и-развлечения
В
Взаимоотношения
З
Здоровье
К
Кулинария-и-гостеприимство
Ф
Финансы-и-бизнес
П
Питомцы-и-животные
О
Образование
О
Образование-и-коммуникации
redkiller22
redkiller22
07.10.2020 12:06 •  Математика

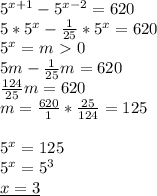
Решить показательное уравнение? 5^x+1-5^x-2=620

👇
Ответ:
vasdehinskil
vasdehinskil
07.10.2020
5^{x+1}-5^{x-2}=620 \\ 
5*5^x- \frac{1}{25}*5^x=620 \\ 
5^x=m\ \textgreater \ 0 \\ 
5m- \frac{1}{25}m=620 \\ 
 \frac{124}{25}m=620 \\ 
m= \frac{620}{1}* \frac{25}{124} =125 \\ \\ 
5^x=125 \\ 
5^x=5^3 \\ 
\underline{x=3}

4,6(50 оценок)
Открыть все ответы
Ответ:
TheSiDo
TheSiDo
07.10.2020
Сочинение - рассуждение "быть человеком." (наш друг - электроник)      электроник - это робот, с внешностью мальчика, который хочет стать человеком. для чего? он же обладает энциклопедическими знаниями обо всем на свете, в том числе, и о людях. электроник объясняет свое желание тем. что он хочет самостоятельно принимать решения, а не делать то, что ему говорят. но достаточно ли этого, чтобы стать человеком?       когда электроник, убежав от профессора, встречается с сережей сыроежкиным, фотографию которого профессор громов использовал, создавая внешность электроника, он сталкивается с человеческими поступками, которые ему не понятны.      находчивый сыроежкин сразу понимает, что он может использовать электроника, который является хранилищем информации, в своих целях, а именно так. чтобы не ходить в школу. послав туда. вместо себя, электроника. в электронике не заложена функция вранья, поэтому сережа выдает ему справку. что он может быть вместо него. а сыроежкин объясняет свои действия тем, что он человек и может сам все решать.      электроник -  совершенен, он знает и умеет все, в школе им восхищаются. но сыроежкин быстро понимает, что его решение было неверным. они оба, электроник и сережа, не рады этой подмене, потому, что электроник не умеет радоваться, а сережа, добровольно отказавшийся от учебы, от друзей и, даже, от собственного дома, в котором его собственная мама восхищается, каким умным и воспитанным вдруг стал ее сын, потерял себя, свое я.      когда сыроежкин открывает друзьям правду, то они, посмеявшись немножко, поддерживают его решение вернуть себе свою жизнь и ему. чем могут. потому. что люди ошибаются, а признание своих ошибок и исправление их - это проявление человеческого характера, которое заслуживает уважения.        способностью дружить обладает только человек, потому. что дружба - это умение чувствовать, потребность поддерживать, сопереживать и . электроник, в котором заложено так много информации, не смог играть в хоккей, потому, что хоккей - это командная игра, в которой один игрок, даже будучи гением, победить никогда не сможет      значит, для того, чтобы быть человеком. недостаточно одних знаний и умений, недостаточно желания принимать решения. сила человека в том, что ошибаясь, он имеет мужество нести ответственность за свои ошибки, признавать их и исправлять, в том, что человек умеет чувствовать - сердиться, радоваться, плакать и смеяться, в том, что, иногда неправильные поступки становятся единственно правильными, если другой человек от этого становится счастливым, как в сюжете, когда папа сыроежкина вернулся домой из долгого рейса, и родители решили поехать всей семьей покататься, хотя нужно было идти в школу, а электроник не могласился, и родители расстроились.      а то, что электроник завел себе друга. собаку рэсси и, пройдя немало испытаний, совершив ошибку, грабителям, и исправив ее, подвергаясь опасности, научился плакать и улыбаться, научился беспокоиться о друзьях, говорит о том. что он, обретя человеческие чувства, стал человеком.
4,4(19 оценок)
Ответ:
betmen654
betmen654
07.10.2020
Сначала нужно найти, сколько Андрей потратил денег, купив сладости.
Итак, если порция мороженого стоит 16 рублей, а он купил 3 порции, значит за 3 порции мороженого он отдал в 3 раза больше денег, т.е.:
16*3=48 рублей Андрей отдал за 3 порции мороженого.
Андрюша купил также кекс за 127 рублей.
Всего он купил кекс за 127 рублей и мороженое на 48 рублей. Получается, сумма его сладостей будет: 127+48=175 рублей.

Заплатил Андрей 200 рублей, но нужно 175 рублей, значит ему должны были дать сдачу в размере 200-175=25 рублей.

ответ: 25 рублей.
4,6(86 оценок)
Это интересно:
Новые ответы от MOGZ: Математика
logo
Вход Регистрация
Что ты хочешь узнать?
Спроси Mozg
Открыть лучший ответ