М
Молодежь
К
Компьютеры-и-электроника
Д
Дом-и-сад
С
Стиль-и-уход-за-собой
П
Праздники-и-традиции
Т
Транспорт
П
Путешествия
С
Семейная-жизнь
Ф
Философия-и-религия
Б
Без категории
М
Мир-работы
Х
Хобби-и-рукоделие
И
Искусство-и-развлечения
В
Взаимоотношения
З
Здоровье
К
Кулинария-и-гостеприимство
Ф
Финансы-и-бизнес
П
Питомцы-и-животные
О
Образование
О
Образование-и-коммуникации
PolinaSlesareva
PolinaSlesareva
28.04.2022 17:49 •  Математика

Найти проекцию начала координат на прямую : (x-5)/4=(y-1)/3=(z+3)/-2

👇
Ответ:
vadimbukov
vadimbukov
28.04.2022
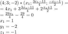
Пусть точка A=(x_1;y_2;z_1) является проекцией начала координат на прямую.
Тогда мы можем сказать:
1) что эта точка лежит на прямой (ее координаты удовлетворяют уравнению прямой)
2) вектор из начала координат в точку A - перпендикулярен вектору, образующему прямую.

из первого утверждения выводим:
y_1 = \frac{3x_1-11}{4}\\z_1=\frac{-x_1-1}{2}

из второго утверждения получаем:
(4;3;-2)*(x_1;\frac{3x_1-11}{4};\frac{-x_1-1}{2})=\\=4x_1+3\frac{3x_1-11}{4}+2\frac{x_1+1}{2}=\\=\frac{29x_1}{4}-\frac{29}{4}=0\\x_1=1\\y_1=-2\\z_1=-1

ответ: (1;-2;-1)
4,7(33 оценок)
Открыть все ответы
Ответ:
Условие:                                                                                                              У Оли заколок = 4                         (объедини 4 и 4 одной фигурой скобкой)  У Ани заколок = 4                                                                                               Сколько заколок всего= ?            Отсюда   > к фигурной скобке                                                                                                                                                                                                                                             Решение:                                                                                                              1) 4+4=8(заколок)                                                                                              ответ 8 заколок всего у сестёр.                                                      
4,5(36 оценок)
Ответ:
soffia242004
soffia242004
28.04.2022

Однажды в Изумрудном лесу случилась пропажа. Вы, случайно, ничего необычного не находили? Что, конкретно, пропало? Да совесть у медвежонка Ушко куда-то подевалась. Пропала и всё. Причём сам медвежонок о пропаже не заявлял и не думал. Окружающие о потерянной совести ему сказали.

А дело было так. Пристрастился медвежонок Ушко к мёду. Раз сходил к пчелиному домику, два сходил. На третий раз столько мёда взял, что еле до дома дотащил.

Лесные жители медвежонку говорили:

— Имей совесть! И как у тебя только совести хватает столько брать и без спросу?

Да только медвежонок и в ус не дул. Он вдруг решил, что совесть просто потерял. Все же что-то теряют. Вот Ушко придумал, что именно он потерял совесть. И никто его на путь истинный наставить не мог.

Да только случилось так, что заболел у медвежонка живот. Сначала Ушко решил: «Ай, поболит, да пройдет».

Но живот «не проходил». И тут к медвежонку потихонечку начала возвращаться совесть.

— Зачем я брал столько мёда? Почему я так много съел? Я ведь не с голодного края. Да и пчёл объел. А, главное, брал воровски, не спросясь. Наверняка бы жужжащие соседки мне не отказали. Не зря говорят: «Надо и совесть иметь».

Подумал так медвежонок Ушко, и легче стало у него на душе. Он твёрдо решил, что в следующий раз тайком за мёдом не полезет!

А живот у медвежонка вскоре болеть перестал. А то уж мама собиралась пойти с ним к врачу.

4,4(47 оценок)
Новые ответы от MOGZ: Математика
logo
Вход Регистрация
Что ты хочешь узнать?
Спроси Mozg
Открыть лучший ответ