М
Молодежь
К
Компьютеры-и-электроника
Д
Дом-и-сад
С
Стиль-и-уход-за-собой
П
Праздники-и-традиции
Т
Транспорт
П
Путешествия
С
Семейная-жизнь
Ф
Философия-и-религия
Б
Без категории
М
Мир-работы
Х
Хобби-и-рукоделие
И
Искусство-и-развлечения
В
Взаимоотношения
З
Здоровье
К
Кулинария-и-гостеприимство
Ф
Финансы-и-бизнес
П
Питомцы-и-животные
О
Образование
О
Образование-и-коммуникации
5Kamilla505
5Kamilla505
11.12.2021 01:26 •  Математика

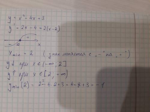
Найти интервалы монотонности и экстремумы функции y=x^2-4x+3 решить .буду

👇
Ответ:
artem110616
artem110616
11.12.2021

Пошаговое объяснение:

На фото


Найти интервалы монотонности и экстремумы функции y=x^2-4x+3 решить .буду
4,5(90 оценок)
Ответ:
Andreiuchenik
Andreiuchenik
11.12.2021

решение представлено на фото

Пошаговое объяснение:


Найти интервалы монотонности и экстремумы функции y=x^2-4x+3 решить .буду
4,5(78 оценок)
Открыть все ответы
Ответ:
vis2209
vis2209
11.12.2021

Пошаговое объяснение:

Английский язык - 328 учеников,

французский язык - 246 учеников,

английский +французский  - 109 учеников.

СКОЛЬКО ВСЕГО УЧЕНИКОВ  -  ?

Чтобы узнать число учеников,(зная,что ВСЕ ученики изучают иностранные языки) суммируем Тех,кто учит английский (328) и французский (246)

328+246=574, Но среди них два раза посчитали тех,кто учит два языка.

Значит один раз надо исключить число тех кто учит два языка(чтобы они входили в счет т олько один раз) 574-109= 465 учеников учится в гимназии.

4,8(73 оценок)
Ответ:
DaiDZ
DaiDZ
11.12.2021
1 Сравните 30% от 60 и 60% от 30.

30% от 60

Пропорция

60--100%

Х---30%

Х=60•30%/100%= 60•0,3/1=18

60% от 30

Пропорция

30100%

Х60%

Х=30•60%/100%= 30•0,6/1=18

18=18

ответ: 30% от 60 равно 60% от 30.


2) Сколько процентов составляет число 30 от 40?

Пропорция

40100%

30Х %

Х= 30•100%/40= 30•1/40= 3/4= 0,75=75%

ответ: число 30 от 40 составляет 75%

3) Найдите число, 70% которого равны 21.

Пропорция

2170%

Х100%

Х= 21•100%/70%= 21•1/0,7=30

ответ: это число 30.


4)) уравнение

5(x + 6) + 1 = 3 – 2 x.

5•Х+5•6+1=3-2х

5х+30+1=3-2х

5х+31=3-2х

5х+2х=3-31

7х=-28

Х=-28/7= -4

Проверка

5• (-4+ 6)+ 1= 3- 2• (-4)

5• 2+ 1= 3- (-8)

11=3+8

11=11

5)Из двух городов, расстояние между которыми равно 540 км, на встречу друг другу одновременно выехали два автомобиля. Найдите скорость второго автомобиля, если скорость первого равна 70км/ч и автомобили встретились через 4 часа после выезда.

Скорость первого авт=70км/ч
Скорость второго авт=?
Встретились=4часа
Расстояние=540км

1)) 70•4=280км проехал первый автомобиль до встречи
2)) 540-280=260км проехал второй автомобиль до встречи
3)) 260:4=65км/ч скорость второго автомобиля

ответ: скорость второго автомобиля 65км/час


5) Треугольник и квадрат имеют одинаковые периметры. Стороны треугольника:
7 см, 8 см, 9 см. Чему равна площадь квадрата?

Периметр треугольника
Р.=а+в+с=7+8+9=24см и это периметр квадрата
У квадрата 4 одинаковых стороны, периметр равен сумме сторон
Р=а+а+а+а=4•а
Р=24
Ищем сторону
а=24:4=6см сторона
Площадь квадрата S=a^2 (сторона в квадрате)
S=6^2=6•6=36см^2

ответ: площадь квадрата равна 36см^2
4,5(86 оценок)
Это интересно:
Новые ответы от MOGZ: Математика
Полный доступ к MOGZ
Живи умнее Безлимитный доступ к MOGZ Оформи подписку
logo
Вход Регистрация
Что ты хочешь узнать?
Спроси Mozg
Открыть лучший ответ