М
Молодежь
К
Компьютеры-и-электроника
Д
Дом-и-сад
С
Стиль-и-уход-за-собой
П
Праздники-и-традиции
Т
Транспорт
П
Путешествия
С
Семейная-жизнь
Ф
Философия-и-религия
Б
Без категории
М
Мир-работы
Х
Хобби-и-рукоделие
И
Искусство-и-развлечения
В
Взаимоотношения
З
Здоровье
К
Кулинария-и-гостеприимство
Ф
Финансы-и-бизнес
П
Питомцы-и-животные
О
Образование
О
Образование-и-коммуникации
АлинаSwons
АлинаSwons
28.05.2021 22:30 •  Математика

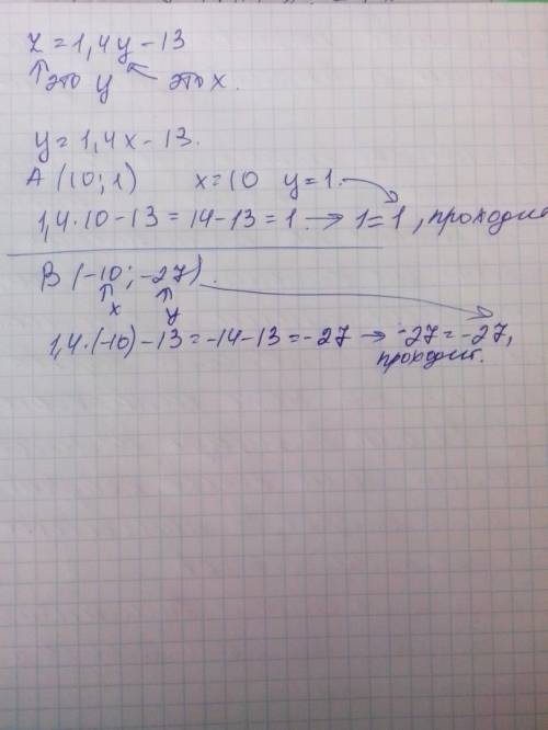
Определите проходит ли график функций z = 1,4y - 13 через точку: а) a(10; 1); б) b(-10; -27)

👇
Ответ:
KowkaSдеsь
KowkaSдеsь
28.05.2021
Все во вложении, просто проверяем принадлежность точек этой функции
Определите проходит ли график функций z = 1,4y - 13 через точку: а) a(10; 1); б) b(-10; -27)
4,5(57 оценок)
Открыть все ответы
Ответ:
gunelmustafaeva
gunelmustafaeva
28.05.2021
Составь выражения :

а) В магазине было а кг овощей . одна третья всех овощей продали до обеда . Сколько килограммов продали до обеда.

1/3•а кг или а/3 кг продали до обеда

Если после обеда то, а-1/3а= 2/3а кг после обеда продали

б) грамоты получили б учеников , что составило 1 % всех учеников  школы .
Сколько всего учеников в этой школе ?

Пропорцией

б-1%

Х-100%

Х=100%б/1%

Х=1б/0,01= 100б учеников

ответ:100б учеников в школе

в) Катер с км , причём одна пятая пути - по реке , а остальной путь - по озеру . Сколько километров катер по озеру. 

С-1/5С= 4/5С

ответ: По озеру катер С км
4,4(55 оценок)
Ответ:
Flexx1337
Flexx1337
28.05.2021

Даны координаты четырёх точек А(1;-2;1), B(0;1;2), C(-2;1;3), D(-1;3;2).

9) Векторы: АВ = (-1; 3; 1), СД = (1; 2; -1).

Их векторное произведение равно:

i         j       k |       i        j

-1       3       1 |     -1        3

1      2        -1 |      1       2    =   -3i + 1j - 2k - 1j - 2i - 3k = -5i + 0j - 5k.

Получили вектор (-5; 0; -5).

Смешанное произведение полученного вектора с заданным (4i - 2j + 1k) равн:

(-5; 0; -5)    x    (4 - 2 + 1)    = (-20;  0; - 5).

10) Объём пирамиды V = (1/6*|(AB x AC)|*AD.

Вектор АС = (-3; 3; 2), вектор: АВ = (-1; 3; 1).

(AB x AC) =

i         j       k |       i        j

-1       3       1 |     -1        3

-3      3       2 |     -3       3   =   6i - 3j - 3k + 2j - 3i + 9k = 3i - 1j + 6k.

Получили вектор (3; -1; 6).

Вектор АД = (-2; 5; 1).

V = (1/6)*|(3*(-2) + (-1*5) + 6*1)| = 5/6.

4,8(95 оценок)
Это интересно:
Новые ответы от MOGZ: Математика
logo
Вход Регистрация
Что ты хочешь узнать?
Спроси Mozg
Открыть лучший ответ