М
Молодежь
К
Компьютеры-и-электроника
Д
Дом-и-сад
С
Стиль-и-уход-за-собой
П
Праздники-и-традиции
Т
Транспорт
П
Путешествия
С
Семейная-жизнь
Ф
Философия-и-религия
Б
Без категории
М
Мир-работы
Х
Хобби-и-рукоделие
И
Искусство-и-развлечения
В
Взаимоотношения
З
Здоровье
К
Кулинария-и-гостеприимство
Ф
Финансы-и-бизнес
П
Питомцы-и-животные
О
Образование
О
Образование-и-коммуникации
STAS228917654321
STAS228917654321
29.09.2020 19:00 •  Математика

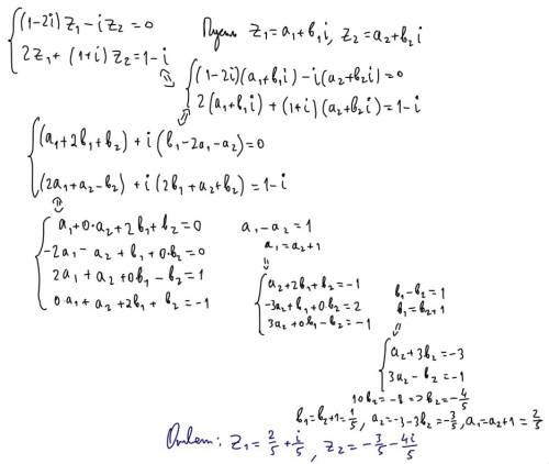
Решить систему уравнений (1-2i)z1-iz2=0 2z1+(1+i)z2=1-i

👇
Ответ:
геля569878
геля569878
29.09.2020
Решение на картинке.
Решить систему уравнений (1-2i)z1-iz2=0 2z1+(1+i)z2=1-i
4,6(9 оценок)
Открыть все ответы
Ответ:
danilbalabanov
danilbalabanov
29.09.2020

1)2 5 11 23 47 95- здесь каждое прибавление больше на еденицу предыдущего числа,допустим:раз число два,значит прибавляем три и того  получается пять,раз число пять,значит прибавляем шесть,получаем одиннадцать

3 7 19 55 163 487-здесь сначала прибавляется 4,потом 12, потом 36,далее каждое прибавление умножается на три.

2 3 5 8 12 17 23 30 - здесь все просто, сначала прибавляется 1,потом 2,потом 3,и т.д.

2)2 5 11 23 47 95 191 383 767

3 7 19 55 163 487 1459 4375 13123

2 3 5 8 12 17 23 30 38 47 57 68

3) 100 201 403 807 1615

 100 104 116 152 224

100 101 103 106 110

4,4(1 оценок)
Ответ:
gleb24nic
gleb24nic
29.09.2020

1)2 5 11 23 47 95- здесь каждое прибавление больше на еденицу предыдущего числа,допустим:раз число два,значит прибавляем три и того  получается пять,раз число пять,значит прибавляем шесть,получаем одиннадцать

3 7 19 55 163 487-здесь сначала прибавляется 4,потом 12, потом 36,далее каждое прибавление умножается на три.

2 3 5 8 12 17 23 30 - здесь все просто, сначала прибавляется 1,потом 2,потом 3,и т.д.

2)2 5 11 23 47 95 191 383 767

3 7 19 55 163 487 1459 4375 13123

2 3 5 8 12 17 23 30 38 47 57 68

3) 100 201 403 807 1615

 100 104 116 152 224

100 101 103 106 110

4,5(34 оценок)
Это интересно:
Новые ответы от MOGZ: Математика
logo
Вход Регистрация
Что ты хочешь узнать?
Спроси Mozg
Открыть лучший ответ