Вход
Регистрация
Спроси Mozg AI
М
Молодежь
К
Компьютеры-и-электроника
Д
Дом-и-сад
С
Стиль-и-уход-за-собой
П
Праздники-и-традиции
Т
Транспорт
П
Путешествия
С
Семейная-жизнь
Ф
Философия-и-религия
Б
Без категории
М
Мир-работы
Х
Хобби-и-рукоделие
И
Искусство-и-развлечения
В
Взаимоотношения
З
Здоровье
К
Кулинария-и-гостеприимство
Ф
Финансы-и-бизнес
П
Питомцы-и-животные
О
Образование
О
Образование-и-коммуникации
.....больше.....
..меньше..
sofisofiyaSofi
16.08.2020 22:37 •
Математика
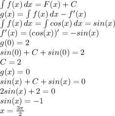
F(x)=cosx; f(x) + c - ее первообразная, g(x)=f(x) + c - f'(x) и g(0)=2 решите уравнение g(x)=0
👇
Увидеть ответ
Ответ:
Котя534
16.08.2020
4,4
(12 оценок)
Открыть все ответы
Ответ:
gulnoza10
16.08.2020
У драконов по 3 головы, значит число (26 - (головы сороконожек) ) должно быть кратным 3.
Максимум сороконожек могло быть: 298 \ 40 = 7 (штук) , смотрим:
26 - 7 = 19 (не кратно 3)
26 - 6 = 20 (не кратно 3)
26 - 5 = 21 (кратно 3)
26 - 4 = 22 (не кратно 3)
26 - 3 = 23 (не кратно 3)
26 - 2 = 24 (кратно 3)
26 - 1 = 25 (не кратно 3)
26 - 0 = 26 (не кратно 3)
Итак, если сороконожек было 5, то драконов было:
(26 - 5) / 3 = 7
Тогда ног у драконов:
(298 - 5 * 40) / 7 = 14
А если сороконожек было 2, то драконов было:
(26 - 2) / 3 = 8
Тогда ног у драконов:
(298 - 2 * 40) / 8 = 12,25 - этого быть не может.
ответ: У дракона 14 ног.
4,6
(48 оценок)
Ответ:
CCQ
16.08.2020
У драконов по 3 головы, значит число (26 - (головы сороконожек) ) должно быть кратным 3.
Максимум сороконожек могло быть: 298 \ 40 = 7 (штук) , смотрим:
26 - 7 = 19 (не кратно 3)
26 - 6 = 20 (не кратно 3)
26 - 5 = 21 (кратно 3)
26 - 4 = 22 (не кратно 3)
26 - 3 = 23 (не кратно 3)
26 - 2 = 24 (кратно 3)
26 - 1 = 25 (не кратно 3)
26 - 0 = 26 (не кратно 3)
Итак, если сороконожек было 5, то драконов было:
(26 - 5) / 3 = 7
Тогда ног у драконов:
(298 - 5 * 40) / 7 = 14
А если сороконожек было 2, то драконов было:
(26 - 2) / 3 = 8
Тогда ног у драконов:
(298 - 2 * 40) / 8 = 12,25 - этого быть не может.
ответ: У дракона 14 ног.
4,7
(23 оценок)
Это интересно:
Х
Хобби-и-рукоделие
25.10.2020
Как связать на спицах игрушечного медведя...
О
Образование-и-коммуникации
07.03.2022
Как читать показания линейки: простой гайд...
П
Питомцы-и-животные
27.07.2021
Как измерить температуру у лошади: советы от опытных ветеринаров и коневодов...
Д
Дом-и-сад
22.09.2020
Как удалить пятна от кондиционера для белья: советы экспертов...
З
Здоровье
05.02.2023
Как сдержать газы: 7 важных советов...
Д
Дом-и-сад
10.09.2020
Заставьте ваш филодендрон расцвести: советы по уходу за растением...
В
Взаимоотношения
01.11.2020
Как определить, что девушка пытается увести вашего парня...
К
Кулинария-и-гостеприимство
22.12.2021
Как приготовить вкусное мороженое из молока в домашних условиях...
К
Компьютеры-и-электроника
31.05.2020
Как правильно ответить на сообщение?...
К
Кулинария-и-гостеприимство
21.10.2022
Лучший способ приготовления традиционных макарон с сыром...
Новые ответы от MOGZ: Математика
Julyash
25.01.2023
Впервый день в магазине продали 105 кг яблок а во второй 60 кг. в первый продали на 3 ящика больше чем во второй. сколько ящиков яблок продали в первый день, если масса всех...
kirovaalex16
25.01.2023
Красных 6 маш. по 15 830 белая 4 маш. по 9875...
143424
25.01.2023
Втреугольнике abc дано: ab = 11,88⋅√2, ∠b = 450, ∠c = 300. найдите сторону ac....
KONERtm
25.01.2023
99 , 7/12 - 3/8 5 - 2/3 8 - 4 7/8 3 4/9 + 2 2/7...
ymniupisos
25.01.2023
1-7,2x=14-0,7x решить пишите в столбик...
1234567890825
25.01.2023
Вопрос по изо. вклейте фигуры людей в уже написанные красками палаты терема. как это сделать?...
elena407
25.01.2023
Имя поэта из букв у а м а р м х и п...
Юлёк1432
25.01.2023
Вночь на 10 февраля температура воздуха упала на 12 градусов , а за день повысилась на 4 градуса и стало составлять 7 гр.какой была т 9 февраля вечером . решите с уравнение....
sharapoid
25.01.2023
Впервый день в магазине продали 105 кг яблок, а во второй - 60 кг. в первый день продали на 3 ящика яблок больше, чем во второй. сколько ящиков яблок продали в первый день, если...
artchapyshev
25.01.2023
Сколько в числе 15400десятков ? сотен? тысяч? .сколько единиц в числе содержащем 208 дес? 32 сот?...
MOGZ ответил
Разложи на множители 1000−10x−x2+x3....
Галузь промисловості України, продукція якої є конкурентоспроможною на світовому...
Дана функция f (x) =f (x) = 5х^2-3х+4. а) Найдите координаты вершины параболы...
В треугольнике mpk угол m=90, mp=7, mk=24. сделайте чертёж. запишите, чему...
A)представьте данные в виде интервальной таблицы частот с интервалом в 1 час...
Определите стиль и тип текста ,в доказательство приведите аргументы пд у меня...
При якому значенні а графік рівняння ax+2y=0 проходить через точку А !!❤️...
Мәтін бойынша Көксеректі екі сөйлеммен сипаттап жаз. ( ) 1-сөйлем. . 2-сөйлем....
два проводника круглого сечения имеет 1 диаметр 2 мм 3 мм Длина первого проводника...
(3x + 1)(5x- 2) 12x² +7x +1...
Полный доступ к MOGZ
Живи умнее Безлимитный доступ к MOGZ
Оформи подписку
О НАС
О нас
Блог
Условия пользования
Авторское право
Политика конфиденциальности
Предпочтения cookie-файлов
ПОМОЩЬ
Зарегистрируйся
Центр помощи
Центр безопасности
App
Вход
Регистрация
Что ты хочешь узнать?
Спроси Mozg
Открыть лучший ответ
×