М
Молодежь
К
Компьютеры-и-электроника
Д
Дом-и-сад
С
Стиль-и-уход-за-собой
П
Праздники-и-традиции
Т
Транспорт
П
Путешествия
С
Семейная-жизнь
Ф
Философия-и-религия
Б
Без категории
М
Мир-работы
Х
Хобби-и-рукоделие
И
Искусство-и-развлечения
В
Взаимоотношения
З
Здоровье
К
Кулинария-и-гостеприимство
Ф
Финансы-и-бизнес
П
Питомцы-и-животные
О
Образование
О
Образование-и-коммуникации
arsen47305
arsen47305
25.01.2020 11:10 •  Математика

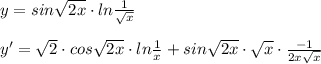
Y=sin(корень2x)*in(1/кореньx) найти производную

👇
Ответ:
nikihouston342
nikihouston342
25.01.2020
y=sin\sqrt{2x}\cdot ln\frac{1}{\sqrt{x}}\\\\y'=\sqrt2\cdot cos\sqrt{2x}\cdot ln\frac{1}{x}+sin\sqrt{2x}\cdot \sqrt{x}\cdot \frac{-1}{2x\sqrt{x}}
4,7(76 оценок)
Открыть все ответы
Ответ:
DeadShotDS
DeadShotDS
25.01.2020
(50000+900+7)*6=305442             (8000+600+30+3)*9=77697
1)50000    2)50900   3)50907        1)8000    2)8600   3)8630    4)8633
 +    900     +        7     *       6        +   600     +    30     +      3    *       9
    50900      50907    305442            8600       8630       8633     77697 

(60000+40+8)*5=300240                (90000+9000+9)*4=396036
1)60000    2)60040    3)60048         1)90000   2)99000    3)99009
 +      40     +        8      *        5          +  9000    +       9      *        4
   60040       60048      300240            99000      99009     396036
4,4(24 оценок)
Ответ:
Охрана окружающей среды — комплекс мер, предназначенных для ограничения отрицательного влияния человеческой деятельности на природу. Такими мерами могут являться:Ограничение выбросов в атмосферу и гидросферу с целью улучшения общей экологической обстановки.Создание заповедников, национальных парков с целью сохранения природных комплексов.Ограничение ловли рыбы, охоты с целью сохранения определённых видов.Ограничение выброса мусора.На сегодняшний день эта проблема обостряется с каждым днем все сильнее.
4,4(62 оценок)
Это интересно:
Новые ответы от MOGZ: Математика
logo
Вход Регистрация
Что ты хочешь узнать?
Спроси Mozg
Открыть лучший ответ