М
Молодежь
К
Компьютеры-и-электроника
Д
Дом-и-сад
С
Стиль-и-уход-за-собой
П
Праздники-и-традиции
Т
Транспорт
П
Путешествия
С
Семейная-жизнь
Ф
Философия-и-религия
Б
Без категории
М
Мир-работы
Х
Хобби-и-рукоделие
И
Искусство-и-развлечения
В
Взаимоотношения
З
Здоровье
К
Кулинария-и-гостеприимство
Ф
Финансы-и-бизнес
П
Питомцы-и-животные
О
Образование
О
Образование-и-коммуникации
Серыйпрайм
Серыйпрайм
16.02.2022 12:31 •  Математика

Укажите множество решений неравенства

👇
Ответ:
aiis171
aiis171
16.02.2022

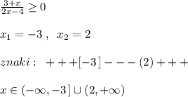
\frac{3+x}{2x-4}\geq 0\\\\x_1=-3\; ,\; \; x_2=2\\\\znaki:\; \; +++[-3\, ]---(2)+++\\\\x\in (-\infty ,-3\, ]\cup (2,+\infty )

4,4(84 оценок)
Открыть все ответы
Ответ:
Kolelove050
Kolelove050
16.02.2022

10.

5 • 4 : 12 = 20 : 12 , 20 = 12 • 1 + 8 следовательно понадобится 2 пиццы .

ответ : 2

11.

Заметим , что третья покупка Марии стоит 23 000 - 13 000 - 4 000 = 6 000 рублей . Из условия , что плащ и сумка вместе на 7 000 рублей дороже , чем сумка и сапоги вместе , заключим , что плащ стоит дороже сапог на 7 000 рублей . Из известных нам трёх чисел число 13 000 больше на 7 000 числа 6 000 . Значит , плащ стоил 13 000 рублей , а сапоги стоили 6 000 рублей . Значит сумка стоила 4 000 рублей .

ответ : 4 000 .

12.

Рассмотрим два случая . Если 5 вёдер накопал Максим , то по условию Наташа и Света накопали на 7 вёдер больше , т.е 5 + 7 = 12 , что невозможно , поскольку только одна Света накопала 14 вёдер . Значит , 5 вёдер накопала Наташа . Тогда Максим накопал 5 + 14 - 7 = 12 . Значит , всего накопали 5 + 14 + 12 = 31 ведро .

ответ : 31

4,8(77 оценок)
Ответ:
даша3645
даша3645
16.02.2022

и кстати это очень мало   за эти ответы

ответ:1 и 2 прекрепила фото)

3)

x^2-2x+√3-x=√3-x+8

x^2-2x+√3-x-√3+x-8=0

x^2-2x-8=0

По теореме Виета

x1+x2=2

x1*x2=-8

x1=4

x2=-2

ответ: -2; 4

4)

S площадь треугольника равна: S = 1/2 * a*b * sin A

A = угол между ними

а и b сторона треугольника

S = 1/2 *10* 10√3*√3/2 = 10 * 10 * 3 / 4 = 75 ед²

5)

Проанализируем каждое утверждение.

1) Неравенство треугольника гласит: "Каждая сторона треугольника меньше суммы двух других сторон".

Составим неравенства и проверим их на верность -

4+1 > 2 ⇒ 3 > 2.

4+2 > 1 ⇒ 6 > 1.

2+1 > 4 ⇒ 3 > 4 - это неверное неравенство, сторона треугольника не может быть больше суммы двух других сторон, следовательно, такого треугольника не существует.

ответ: утверждение 1 верно.

2) Смежные углы, конечно же, могут быть равны (когда каждый из них равен по 90°).

Рассмотрим какие-нибудь смежные углы, пусть один из них будет тупой. (на картинке ∠CBD - тупой). Тогда какого вида будет ∠СВА?

Так как сумма смежных углов равна 180°, а тупой угол - это угол, градусная мера которого больше 90°. Если ∠CBD = 91°, тогда ∠СВА = 180°-∠CBD = 180°-91° = 89° - острый угол. (Можете сами поэкспериментировать, угол, смежный с тупым углом - всегда острый угол). Утверждение 2 не всегда может быть верным, так как острый и тупой угол не могут быть равны.

ответ: утверждение 2 неверно.

3) Совершенно верно. Это одно из свойств окружности.

ответ: утверждение 3 верно.

ответ: 13.


1. Известно, что a<b<0. выберите меньшее из чисел 1) a-12) b-1 3) ab4) -b2. Найдите значение в
4,7(32 оценок)
Новые ответы от MOGZ: Математика
logo
Вход Регистрация
Что ты хочешь узнать?
Спроси Mozg
Открыть лучший ответ