М
Молодежь
К
Компьютеры-и-электроника
Д
Дом-и-сад
С
Стиль-и-уход-за-собой
П
Праздники-и-традиции
Т
Транспорт
П
Путешествия
С
Семейная-жизнь
Ф
Философия-и-религия
Б
Без категории
М
Мир-работы
Х
Хобби-и-рукоделие
И
Искусство-и-развлечения
В
Взаимоотношения
З
Здоровье
К
Кулинария-и-гостеприимство
Ф
Финансы-и-бизнес
П
Питомцы-и-животные
О
Образование
О
Образование-и-коммуникации
sashacom13
sashacom13
25.03.2022 01:56 •  Математика

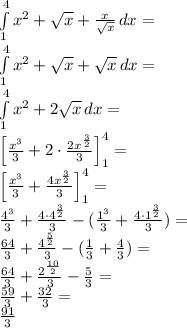
Найдите интеграл а) ∫(2 cosx -5x^4 3)dx б) ∫4+x/корень x dx

👇
Ответ:
OlgaKotova200
OlgaKotova200
25.03.2022
Вот так и надо! Всегда тебе удачи учись на хорошие отметки!
Найдите интеграл а) ∫(2 cosx -5x^4 3)dx б) ∫4+x/корень x dx
4,4(16 оценок)
Открыть все ответы
Ответ:
doda4i
doda4i
25.03.2022
Через 9 часов поезда проедут:
62*9=558 км
74*9=666 км

Т.к. эти расстояния в сумме больше расстояния от Москвы до Саратова, то это означает, что поезда уже встретились и теперь расстояние между ними увеличивается.

В момент встречи оба поезда совместно преодолели все расстояние в 892 км. Значит, превышение суммарного пройденного пути поездами расстояния от Москвы до Саратов и составляет расстояние между поездами.
558+666=1224 км
1224-892=332 км

ответ: через 9 часов между поездами расстояние будет 332 км и они будут удаляться друг о друге.
4,5(88 оценок)
Ответ:
даша33100
даша33100
25.03.2022
№ 212.2 литра это два кубических дециметра. В одном дециметре 10 см, в 1-ом куб. дециметре 1000 см кубических. В 1 метре кубическом миллион см кубических. Нужно знать плотность керосина, это вроде 700 кг на метр кубический. 2000 см куб=0,002 метр куб. 0,002 умножить на 700 =1,4 кг.

№ 213.металлический кусок имеет объём 200 см кубических и массу 540 граммов. из какого металла этот кусок? какова его плотность?

№218.1,4*1*10^-3 и все это на плотность железа

№219.p = m/VОтсюдаV = m/p = 4 / 800 = 0.005 м³ - такой ёмкости нужна бутыль

№220.надо плотность нефти поделить на массу

№223.Если брать в среднем, 1 куб.метр песка весит 1,5 тонн.Значит в одном вагоне помещается 10 куб.метров песка.А для 400 000 куб.метров нужно 40 000 вагонов :
400 000 : 10 = 40 000
4,4(81 оценок)
Новые ответы от MOGZ: Математика
logo
Вход Регистрация
Что ты хочешь узнать?
Спроси Mozg
Открыть лучший ответ