М
Молодежь
К
Компьютеры-и-электроника
Д
Дом-и-сад
С
Стиль-и-уход-за-собой
П
Праздники-и-традиции
Т
Транспорт
П
Путешествия
С
Семейная-жизнь
Ф
Философия-и-религия
Б
Без категории
М
Мир-работы
Х
Хобби-и-рукоделие
И
Искусство-и-развлечения
В
Взаимоотношения
З
Здоровье
К
Кулинария-и-гостеприимство
Ф
Финансы-и-бизнес
П
Питомцы-и-животные
О
Образование
О
Образование-и-коммуникации
GromKR
GromKR
12.10.2021 08:19 •  Математика

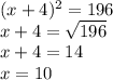
Решение сторону квадрата увеличили на 4 см и получили площаль 196 кв см найдите площадь начального квадрата

👇
Ответ:
Пусть сторона начального квадрата x. Тогда сторона увеличенного квадрата x+4.
Площадь увеличенного квадрата
(x+4)^{2} =196 \\ x+4= \sqrt{196} \\ x+4=14 \\ x=10
Площадь первоначального квадрата 10*10=100 кв. см.
4,4(46 оценок)
Открыть все ответы
Ответ:
Penguinunicirn
Penguinunicirn
12.10.2021

Пошаговое объяснение:

1) округлить до десятых

   7,236 = 7,2

   0,85834 = 0,9

   округлить до тысячных

   16,9264 = 16,926

   0,4566 = 0,457

2) выразить в центнерах

   11 ц 58 кг = 11,58 ц

   82 кг = 0,82 ц

   5 кг = 0,05 ц

   237 кг = 2,37 ц

   выразить в километрах

   8 км 234 м = 8,234 км

   745 м = 0,745 км

   65 м = 0,065 км

   7358 м = 7,358 км

3) найдем скорость течения:

   34,2 - 31,5 = 2,7 км/ч

   найдем скорость катера против течения

   31,5 - 2,7 = 28,8 км/ч

4) 1 м = 100 см

   1 км = 1000 м

   18,2 м - 67 см = 18,2 м - 0,67 м = 17,53 м

   2,7 км + 360 м = 2700 м +360 м = 3060 м

5)     2,81 < 2,816; 2,82; 2,828 < 2,83

4,7(88 оценок)
Ответ:
Медуха
Медуха
12.10.2021

ответ:Проверочная работа по теме: «Десятичные дроби»

(необходимо сделать на двойном листе отсканировать или сфотографировать и прислать на почту [email protected] и прикрепить в эжд, если получится)

1. Сравните:

а) 20,297 и 20,3; б) 0,724 и 0,7238.

2. Округлите:

а) до десятых: 7,236; 0,85834;

б) до тысячных: 16,9264; 0,4566.

3. Выполните действия:

а) 4,98 + 52,462; в) 38 – 4,952;

б) 36,45 – 6,714; г) 34,7 – (6,76 + 0,987).

4. Скорость катера по течению реки равна 34,2 км/ч, а собственная скорость катера – 31,5км/ч. Найдите скорость катера против течения реки.

5. Вычислите, записав данные величины в метрах: а) 18,2 м – 67 см; б) 2,7м + 360см.

6. Ломаная состоит из трех звеньев. Длина первого звена равна 8,2см, что на 3,7 см больше длины второго звена и на 5,3 см меньше длины третьего. Чему равна длина ломанной?

7. Напишите три числа, каждое из которых больше 2,81 и меньше 2,83.

8. Какие цифры можно поставить вместо звездочки, чтобы образовалось

верное неравенство (в правой и левой частях неравенства звездочкой обозначена одна и та же цифра):

а) 0,*2>0,6*; 9. Вычислите: а) 8,43 ∙ 5,7;

б) 54,29 ∙ 1000;

10. Найдите значение выражения: 50 – (22,95 : 2,7 + 3,4) ∙ 2,8. 11.Решите уравнение: 8,4(y – 17,9)=4,2.

12. С двух станций, расстояние между которыми равно 25,6км,

одновременно в одном направлении вышли два поезда. Первый шел впереди со скоростью 58,4 км/ч, и через 4 ч после начала движения его догнал второй поезд. Найдите скорость второго поезда.

13*. Если в некоторой десятичной дроби перенести запятую вправо на одну цифру, то она увеличится на 44.46. Найдите эту дробь.

б) 0,*5>0,5*?

в) 37,8 : 100; д) 3,22 : 2,8;

г) 8 : 32; е) 15 : 0,75.

З

 

Пошаговое объяснение:

 

Пошаговое объяснение:

4,7(7 оценок)
Это интересно:
Новые ответы от MOGZ: Математика
logo
Вход Регистрация
Что ты хочешь узнать?
Спроси Mozg
Открыть лучший ответ