М
Молодежь
К
Компьютеры-и-электроника
Д
Дом-и-сад
С
Стиль-и-уход-за-собой
П
Праздники-и-традиции
Т
Транспорт
П
Путешествия
С
Семейная-жизнь
Ф
Философия-и-религия
Б
Без категории
М
Мир-работы
Х
Хобби-и-рукоделие
И
Искусство-и-развлечения
В
Взаимоотношения
З
Здоровье
К
Кулинария-и-гостеприимство
Ф
Финансы-и-бизнес
П
Питомцы-и-животные
О
Образование
О
Образование-и-коммуникации
Cricetinae
Cricetinae
31.05.2021 09:27 •  Математика

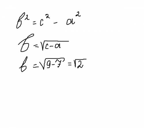
Впрямоугольном треугольники а и б катеты с гипотенуза найдите б если а =7 а с= 9

👇
Ответ:
svitlanakost
svitlanakost
31.05.2021
Тут можно решить с теоремы Пифагора:)

В^2 = С^2 - А^2

Впрямоугольном треугольники а и б катеты с гипотенуза найдите б если а =7 а с= 9
4,8(14 оценок)
Открыть все ответы
Ответ:
varlamovanastya
varlamovanastya
31.05.2021
Если отдельно рассматривать родительский долг – то он заключается в подготовке ребенка к взрослой жизни, и формирование его как полноценного субъекта общественных отношений. Некоторые источники опровергают само существование долга ребенка перед родителями, считается, что заботясь о своих детях, взрослый человек, таким образом, косвенно исполняет свой долг перед родителями, путем продолжения их рода.

Однако забота о своих родителях, бабушках и дедушках – это признак нравственности и духовного развития любого индивидуума. В этом и заключается основная функция института семьи – именно в этой малой социальной группе люди проходят психологическую реабилитацию, здесь они черпают силы и энергию. Каждый человек должен быть уверенным в том, что любой член его семьи всегда готов оказать ему необходимую и заботу.
4,6(49 оценок)
Ответ:
vitalis1999
vitalis1999
31.05.2021
А) Разделите между 7 девочками 42 яблока, да так, чтобы каждой досталось одинаковое количество яблок.
б) На столе лежало 30 конфет. 5 детишек одинаково  поделили между собой эти конфеты. Сколько конфет досталось каждому ребенку?
в) На столе лежало 18 ручек. 3 мальчика решили поделить между собой эти ручки, да так, чтоб всем досталось поровну количеству ручек. Сколько ручек досталось каждому из ребят?
г) Было х коробок, 4 грузчика решили поровну коробок загрузить в грузовик. Сколько коробок загрузил каждый грузчик?
P/S если правильно понял задание...=)
4,5(44 оценок)
Новые ответы от MOGZ: Математика
logo
Вход Регистрация
Что ты хочешь узнать?
Спроси Mozg
Открыть лучший ответ