М
Молодежь
К
Компьютеры-и-электроника
Д
Дом-и-сад
С
Стиль-и-уход-за-собой
П
Праздники-и-традиции
Т
Транспорт
П
Путешествия
С
Семейная-жизнь
Ф
Философия-и-религия
Б
Без категории
М
Мир-работы
Х
Хобби-и-рукоделие
И
Искусство-и-развлечения
В
Взаимоотношения
З
Здоровье
К
Кулинария-и-гостеприимство
Ф
Финансы-и-бизнес
П
Питомцы-и-животные
О
Образование
О
Образование-и-коммуникации
nikitanehaenko1
nikitanehaenko1
18.04.2020 22:17 •  Математика

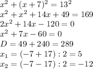
Гипотенуза прямоугольного треугольника равна 13 метров найдите его катеты если известно что один из них на 7 сантиметров больше другого

👇
Ответ:
bmm999
bmm999
18.04.2020
x^2+(x+7)^2=13^2\\
x^2+x^2+14x+49=169\\
2x^2+14x-120=0\\
x^2+7x-60=0\\
D=49+240=289\\
x_1=(-7+17):2=5\\
x_2=(-7-17):2=-12
Т.к. катет не может быть отрицательным, то первый катет равен 5, а второй равен 5+7=12.
4,5(62 оценок)
Открыть все ответы
Ответ:
cucuruza5
cucuruza5
18.04.2020
Даная жила в деревне Агафьевка, в доме старой бабушки Марии. Когда девочке исполнился год, она осталась сиротой, но никто не желал говорить о её родителях. Мало того, ребятишки не желали играть с Данаей, не подпуская её близко ни к себе, ни к своим игрушкам. Когда Данае исполнилось семь лет, в её жизни начали происходить странные вещи. Она понимала животных, видела какие-то странные сны, которые сбывались. Но самое страшное это то, что в зеркалах Даная видела женщину и её мужа. Девочка боялась, но никому ничего не говорила.
Летели года, девочка росла, и из маленькой неприметной девчушки, выросла красавица Даная. И вот, одним прекрасным весенним днём, когда и начались её беды, девушка проснулась от крика петушинного. Бабка Мария уже сидела за столом, что было очень странно, учитывая, что та никогда не завтракала без Данаи.
-Матушка, почему ты встала так рано?
Мария как будто её не слышала.
-Матушка!Матушка, ответь!
И снова тишина.
Даная испугалась, выбежала во двор и стала звать:
-Люди добрые! С бабушкой Марией беда!
Сбежался деревенский люд, да все причитают:
-Ох, говорили, не бери дочку колдовскую, не бери! Ох, нажила себе беды!
-Да что ж с бабушкой моей творится?!- кричит Даная, и слышит в ответ:
-Уйди, ведьма!
Расплакалась Даная и убежала в лес.
Фантазия кончилась, дальше сами)
4,7(52 оценок)
Ответ:
EvdokiaNi
EvdokiaNi
18.04.2020

1) 15 июня, 2) 31 мая

Пошаговое объяснение:

1) по плану Д.С. с 1–7 число включительно должен был сделать ремонт, тогда с 8–15 июня включительно он был в байдарочном походе. Последний день байдарочного похода приходился на 15 июня, а с 16 июня ему планировалось быть в деревне 1-й день

2) если учитывать, что 14 числа Д.С. был в деревне 1-й день, и был перед этим в байдарочном походе 8 дней, тогда первый день в походе приходился на 14–8=6 число. Учитывая, что в походе он был по 14 число включительно, то 6+1=7число - 7-го июня он пошёл в поход, значит ремонт он закончил 6 июня и если по плану ему на ремонт потребовалось 7 дней, то он начал ремонт 31 мая. 31 мая+ 6 дней июня= 7 дней

4,4(78 оценок)
Это интересно:
Новые ответы от MOGZ: Математика
logo
Вход Регистрация
Что ты хочешь узнать?
Спроси Mozg
Открыть лучший ответ