М
Молодежь
К
Компьютеры-и-электроника
Д
Дом-и-сад
С
Стиль-и-уход-за-собой
П
Праздники-и-традиции
Т
Транспорт
П
Путешествия
С
Семейная-жизнь
Ф
Философия-и-религия
Б
Без категории
М
Мир-работы
Х
Хобби-и-рукоделие
И
Искусство-и-развлечения
В
Взаимоотношения
З
Здоровье
К
Кулинария-и-гостеприимство
Ф
Финансы-и-бизнес
П
Питомцы-и-животные
О
Образование
О
Образование-и-коммуникации
VanyaKEKEP
VanyaKEKEP
11.07.2021 19:53 •  Математика

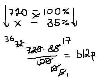
Цена килограмма яблок - 80 рублей, апельсинов - 120 рублей. магазин объявил акцию: при покупке свыше 5 кг предоставляется скидка 15% от стоимости всей покупки . сколько рублей заплатила хозяйка за покупку 3 кг яблок и 4 кг апельсинов ?

👇
Ответ:
vhidfhv132
vhidfhv132
11.07.2021
3*80=240руб.
4*120=480руб
3+4=7
7>5 значит действует скидка
240+480=720
720-100%
х-15%
100х=10800
х=108
720-108=612
4,6(73 оценок)
Ответ:
1) 3*80 = 240р. - за яблоки
2) 4*120 = 480р. - за апельсины
3) 480+240 = 720р. - общая сумма
4) Пропорция (см картинку).
ответ: 612 рублей
Цена килограмма яблок - 80 рублей, апельсинов - 120 рублей. магазин объявил акцию: при покупке свыше
4,8(13 оценок)
Открыть все ответы
Ответ:
kcenigolovaxa
kcenigolovaxa
11.07.2021
Не зможе отримати 18. Це Кенгуру, скоріш за все, 2 клас. Це завдання на перевірку усного обчислення на кілька послідовних дій Так, це Кенгуру за 2 клас. Але я -мама не можу пояснити дитині, що треба робити та як розв'язати на прикладах. І чому саме 18 ми не зможемо отримати? Послідовно після 1 ставте спочатку всі плюси, порахуйте. Потім по одному змінюйте плюс на знак множення. 1+2+2+2+2=9, 1+2+2+2)*2=14 і т д. Тут важливий не порядок дій, а саме усне обчислення і запам'ятовування попереднього результату. У 2 класі завдання на усне обчислення та логіку на основі зорового сприйняття. Наприклад, знайти найменшу к-ть виходів з лабіринту Або навпаки - спочатку всі множення, з кінця замінюйте на додавання щоб зберегти порядок дій. 1*2*2*2*2=26, 1*2*2*2+2=10, 1*2*2+2+2=8, 1*2+2+2+2=8, 1+2+2+2+2=9, 1+2)*2+2=8, 1+2)*2*2+2=14, 1+2)*2*2*2=24, 1+2+2)*2*2=20 
4,6(8 оценок)
Ответ:
karinatrunko
karinatrunko
11.07.2021
Не зможе отримати 18. Це Кенгуру, скоріш за все, 2 клас. Це завдання на перевірку усного обчислення на кілька послідовних дій Так, це Кенгуру за 2 клас. Але я -мама не можу пояснити дитині, що треба робити та як розв'язати на прикладах. І чому саме 18 ми не зможемо отримати? Послідовно після 1 ставте спочатку всі плюси, порахуйте. Потім по одному змінюйте плюс на знак множення. 1+2+2+2+2=9, 1+2+2+2)*2=14 і т д. Тут важливий не порядок дій, а саме усне обчислення і запам'ятовування попереднього результату. У 2 класі завдання на усне обчислення та логіку на основі зорового сприйняття. Наприклад, знайти найменшу к-ть виходів з лабіринту Або навпаки - спочатку всі множення, з кінця замінюйте на додавання щоб зберегти порядок дій. 1*2*2*2*2=26, 1*2*2*2+2=10, 1*2*2+2+2=8, 1*2+2+2+2=8, 1+2+2+2+2=9, 1+2)*2+2=8, 1+2)*2*2+2=14, 1+2)*2*2*2=24, 1+2+2)*2*2=20 
4,8(68 оценок)
Это интересно:
Новые ответы от MOGZ: Математика
logo
Вход Регистрация
Что ты хочешь узнать?
Спроси Mozg
Открыть лучший ответ