М
Молодежь
К
Компьютеры-и-электроника
Д
Дом-и-сад
С
Стиль-и-уход-за-собой
П
Праздники-и-традиции
Т
Транспорт
П
Путешествия
С
Семейная-жизнь
Ф
Философия-и-религия
Б
Без категории
М
Мир-работы
Х
Хобби-и-рукоделие
И
Искусство-и-развлечения
В
Взаимоотношения
З
Здоровье
К
Кулинария-и-гостеприимство
Ф
Финансы-и-бизнес
П
Питомцы-и-животные
О
Образование
О
Образование-и-коммуникации
Kov3456
Kov3456
03.12.2021 03:43 •  Математика

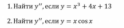
Уважаемые математики решить это пошагово


Уважаемые математики решить это пошагово

👇
Открыть все ответы
Ответ:
AlexUnderNewSky
AlexUnderNewSky
03.12.2021
1) Если прямоугольники имеют одинаковый периметр, то они равны=== это неверное утверждение. Например прямоугольники  со сторонами 8 и 2, и 6 и 4 имеют одинаковый Р=20, но при этом они не равны

2) Если один из двух прямоугольников имеет большую площадь, то он имеет и больший периметр=== это неверное утверждение. 
Например прямоугольники  со сторонами 6 и 4 (S=24,Р=20) и 9 и 2 (S=18, Р=22) 

3) Если два прямоугольника имеют одинаковую площадь, то их периметры равны === это неверное утверждение. 
Например прямоугольники  со сторонами 6 и 4 (S=24,Р=20) и 8 и 3 (S=24, Р=22) 

4) Если площадь одного прямоугольника меньше площади другого, то первый прямоугольник можно полностью 
расположить внутри второго.=== это неверное утверждение. 
Например прямоугольники  со сторонами 9 и 2 (S=18) и 6 и 4 (S=24) 
4,8(79 оценок)
Ответ:
Микаэла111
Микаэла111
03.12.2021
1) Если прямоугольники имеют одинаковый периметр, то они равны=== это неверное утверждение. Например прямоугольники  со сторонами 8 и 2, и 6 и 4 имеют одинаковый Р=20, но при этом они не равны

2) Если один из двух прямоугольников имеет большую площадь, то он имеет и больший периметр=== это неверное утверждение. 
Например прямоугольники  со сторонами 6 и 4 (S=24,Р=20) и 9 и 2 (S=18, Р=22) 

3) Если два прямоугольника имеют одинаковую площадь, то их периметры равны === это неверное утверждение. 
Например прямоугольники  со сторонами 6 и 4 (S=24,Р=20) и 8 и 3 (S=24, Р=22) 

4) Если площадь одного прямоугольника меньше площади другого, то первый прямоугольник можно полностью 
расположить внутри второго.=== это неверное утверждение. 
Например прямоугольники  со сторонами 9 и 2 (S=18) и 6 и 4 (S=24) 
4,5(69 оценок)
Это интересно:
Новые ответы от MOGZ: Математика
logo
Вход Регистрация
Что ты хочешь узнать?
Спроси Mozg
Открыть лучший ответ