М
Молодежь
К
Компьютеры-и-электроника
Д
Дом-и-сад
С
Стиль-и-уход-за-собой
П
Праздники-и-традиции
Т
Транспорт
П
Путешествия
С
Семейная-жизнь
Ф
Философия-и-религия
Б
Без категории
М
Мир-работы
Х
Хобби-и-рукоделие
И
Искусство-и-развлечения
В
Взаимоотношения
З
Здоровье
К
Кулинария-и-гостеприимство
Ф
Финансы-и-бизнес
П
Питомцы-и-животные
О
Образование
О
Образование-и-коммуникации
PuvMan
PuvMan
20.01.2023 08:12 •  Математика

Найти общий вид первообразной для функции f(x)= -5 найти функцию обратной данной y=корень из 4-х

👇
Ответ:
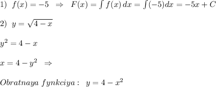
1)\; \; f(x)=-5\; \; \Rightarrow \; \; F(x)=\int f(x)\, dx=\int (-5)dx=-5x+C\\\\2)\; \; y=\sqrt{4-x}\\\\y^2=4-x\\\\x=4-y^2\; \; \Rightarrow \\\\Obratnaya\; fynkciya:\; \; y=4-x^2
4,7(48 оценок)
Открыть все ответы
Ответ:
NikMishakov
NikMishakov
20.01.2023

гарри поттер — мальчик со шрамом на лбу, воспитывающийся в семье дяди и тети. родители мальчика погибли. несладкая жизнь у сироты: двоюродный брат постоянно обижает его, взрослые ежедневно наказывают даже за крохотные проступки. даже одежду приёмышу приходится донашивать за сводным братом. сам гарри худенький, поэтому кофты и штаны толстенного дадли сильно свисают.

однажды гарри приходит загадочное письмо. но, не успел гарри даже взглянуть на него, дядя отнимает его. письма всё приходят и приходят, что приводит дядю в бешенство. в итоге мужчина увозит всю на остров, где нет почты. там находит великан хагрид, который и рассказывает мальчику, что он волшебник. великан забирает его с собой. следующий день буквально шокирует гарри. оказывается, прямо под носами людей существует мир магов и волшебства. гарри узнаёт, что в банке хранятся сбережения, которые ему оставили родители. мальчик вместе с новым знакомым идут в банк, берут оттуда деньги и таинственный сверток.

затем мальчик заводит знакомство с роном уизли и гермионой грейнджер. дети на один факультет. в школе с первых минут пребывания у них появляются враги — драко малфой, и его приспешники крэбб и гойл. их поддерживает северус снегг. он постоянно придирается к гарри, рону и гермионе, снимает из-за их проступков очки со всего факультета. гарри берут в команду по квиддичу, он получает в подарок прекрасную метлу.

однажды, неразлучная троица случайно попадает в помещение, где на люке сидит трехголовый пес. естественно, детям не терпится узнать, что охраняет животное. хагрид проговаривается, что тайна известна лишь руководителю школы — и его другу николасу фламелю.

при проведении квиддича кто-то пытается сбросить гарри с метлы. друзья убеждены, что это северус. затем они узнают, что фламель создал филосовский камень — магический предмет, который служит для приготовления эликсира жизни.

источник: краткое содержание книги гарри поттер и философский камень роулинг за 2 минуты пересказ сюжета

4,6(83 оценок)
Ответ:
мартина
мартина
20.01.2023
Доброго дня, пикабушники. сегодня я бы хотел развеять миф о том, с какого возраста можно продавать алкоголь. многие магазины и питейные заведения отказывают отпускать алкогольные напитки, если покупателю не исполнился 21 год. но это заблуждение, пришедшее к нам из американских фильмов.  итак, тебе 18-20 лет, тебе захотелось выпить любимого коньяка, а тебе отказали на кассе, ссылаясь на то, что тебе меньше 21 года. во-первых, запомни: кассир имеет полное право попросить документ, удостоверяющий личность. ты же имеешь полное право отказаться, однако в таком случае скорее всего желаемое тебе не продадут. сейчас участились случаи рейдов, когда детина под 2 метра ростом и с бородой покупает алкогольный напиток, кассир на глаз определяет его допустимый возраст, а тут оп и сотрудники, и протокол, и нехилый штраф для владельца точки. поэтому магазин "не-в-ларьке" скорее всего попросит тебя документ, это нормально. теперь поговорим о перечне докуменов, удостоверяющих личность. документом, удостоверяющим личность и возраст является, конечно же, паспорт. помимо него ты можешь предъявить загран.паспорт, военный билет, паспорт моряка, временное удостоверение личности (при обмене паспорта или его восстановлении). здесь следует отметить еще одно распространенное заблуждение: водительские права не являются документом, удостоверяющим личность, и продавец имеет полное право отказать тебе в покупке при его предъявлении. перечень таких документов исчерпывающий, и ву в него не входит. теперь непосредственно о возрасте. в российской федерации реализация алкогольных напитков осуществляется в соответствие с федеральным законом "о государственном регулировании производства и оборота этилового спирта, алкогольной и спиртосодержащей продукции". согласно этому закону не допускается розничная продажа алкогольной продукции несовершеннолетним. совершеннолетним гражданином, в соотвествие с п.1 ст.21 гражданского кодекса, признается гражданин, достигший 18 летнего возраста. таким образом, закон ограничивает продажу алкоголя только лишь лицам, не достигшим 18 летнего возраста. все остальное, что исходит от продавца является незаконным, в том числе отказ продать тебе напиток. публичный договор это тебе non penis   итак, подведен итоги. купить алкоголь любой крепости можно с 18 летнего возраста. для этого достаточно носить с собой паспорт или иной документ, который есть в перечне. водительское удостоверение таким документом не является. 
4,7(33 оценок)
Это интересно:
Новые ответы от MOGZ: Математика
logo
Вход Регистрация
Что ты хочешь узнать?
Спроси Mozg
Открыть лучший ответ