М
Молодежь
К
Компьютеры-и-электроника
Д
Дом-и-сад
С
Стиль-и-уход-за-собой
П
Праздники-и-традиции
Т
Транспорт
П
Путешествия
С
Семейная-жизнь
Ф
Философия-и-религия
Б
Без категории
М
Мир-работы
Х
Хобби-и-рукоделие
И
Искусство-и-развлечения
В
Взаимоотношения
З
Здоровье
К
Кулинария-и-гостеприимство
Ф
Финансы-и-бизнес
П
Питомцы-и-животные
О
Образование
О
Образование-и-коммуникации
seksi2505
seksi2505
05.05.2023 18:18 •  Математика

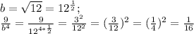
Найдите значение выражения 9/b^4 при b=√12

👇
Ответ:
azul1999
azul1999
05.05.2023
b= \sqrt{12}=12^{ \frac{1}{2} } ; \\ \frac{9}{b^{4} }= \frac{9}{12^{4* \frac{1}{2} } }= \frac{3^{2} }{12^{2} } =( \frac{3}{12} )^{2} =( \frac{1}{4} )^{2} = \frac{1}{16}
4,6(96 оценок)
Открыть все ответы
Ответ:
prisheplub
prisheplub
05.05.2023
вперед 4 шага;
назад 2 шага;
расст. 10 шагов:
всего   ? шагов
Решение:
4 + 2 = 6 (шагов) Митя делает за цикл;
4 - 2 = 2 (шага)  на два шага он продвигается за цикл (4-2)
10 - 4 = 6 (шагов) --- на таком расстоянии от заданной точки 10 шагов Митя должен оказаться перед последним циклом, т.к. назад возвращаться ему будет не надо.
6 : 2 = 3 (цикла) надо сделать перед последними шагами вперед;
6 * 3 = 18 (шагов) всего сделает Митя перед последним продвижением вперед:
6 + 4 = 10 (шагов) --- Митя достиг заданной точки (10 шагов);
18 + 4 = 22 (шага)   всего сделал Митя.
ответ: 22 шага всего сделал Митя.
4,6(78 оценок)
Ответ:
TurboDan
TurboDan
05.05.2023

Пошаговое объяснение:

1. Найдите значение выражения:  (4,1 – 0,66 : 1,2) ∙ 0,6. 2. Миша шёл из одного села в другое 0,7 ч по полю и 0,9 ч через лес, пройдя всего 5,31 км. С  Вариант 1 какой скоростью шёл Миша через лес, если по полю он двигался со скоростью 4,5 км/ч? 3. Решите уравнение: 9,2 – 6,8 + 0,64 = 1 4. Ширина прямоугольного параллелепипеда равна 4 см, что составляет  8 15   его длины, а  высота составляет 40 % длины. Вычислите объем параллелепипеда. 5. Выполните действия:   20 : ( 6 3 14  +  1 11 14 ) – ( 4 1 4  –  2 3 4 ) : 5. 6. Среднее арифметическое четырёх чисел равно 1,4, а среднее арифметическое трёх других  чисел – 1,75. Найдите среднее арифметическое этих семи чисел. Вариант 2 1. Найдите значение выражения:  (0,49 : 1,4 – 0,325) ∙ 0,8. 2. Катер плыл 0,4 ч по течению реки и 0,6 ч против течения, преодолев всего 16,8 км. С какой  скоростью плыл катер по течению, если против течения он плыл со скоростью 16 км/ч? 3. Решите уравнение: 7,2 – 5,4 + 0,55 = 1 4. Ширина прямоугольного параллелепипеда равна 3,6 см, что составляет  высота составляет 42 % длины. Вычислите объем параллелепипеда. 5. Выполните действия:   30 : ( 17 16 19−5 16 19 ) + ( 7 3 5  –  4 4 5 ) : 7. 9 25   его длины, а  6. Среднее арифметическое трёх чисел равно 2,5, а среднее арифметическое двух других чисел – 1,7. Найдите среднее арифметическое этих пяти чисел. Вариант 3 1. Найдите значение выражения:  (5,25 – 0,63 : 1,4) ∙ 0,4. 2. Пётр шёл из  села к озеру 0,7 ч по одной дороге, а возвратился по другой дороге за  0,8 ч,  пройдя всего 6,44 км. С какой скоростью шёл Пётр к озеру, если возвращался он  со  скоростью 3,5 км/ч? 3. Решите уравнение: 7,8 – 4,6 + 0,8 = 12. 6 25   его длины, а  4. Ширина прямоугольного параллелепипеда равна 4,8 см, что составляет  высота составляет 45 % длины. Вычислите объем параллелепипеда. 5. Выполните действия:   10 : ( 2 12 17  +  1 5 17 ) – ( 3 4 5  + 1 3 5 ) : 6. 6. Среднее арифметическое пяти чисел равно 2,3, а среднее арифметическое трёх других чисел – 1,9. Найдите среднее арифметическое этих восьми чисел. Вариант 4 1. Найдите значение выражения:  (4,4 – 0,63 :1,8) ∙ 0,8. 2. Автомобиль ехал 0,9 ч по асфальтированной дороге и 0,6 ч по грунтовой, проехав всего 93,6  км. С какой скоростью двигался автомобиль по асфальтированной дороге, если по грунтовой  он ехал со скоростью 48 км/ч? 3. Решите уравнение: 3,23 + 0,97 + 0,74 = 2. 4. Ширина прямоугольного параллелепипеда равна 3,2 см, что составляет  8 25   его длины, а  высота составляет 54 % длины. Вычислите объем параллелепипеда. 5  –  2 3 5 ) : 9. 5. Выполните действия:   50 : ( 14 8 6. Среднее арифметическое шести чисел равно 2,8, а среднее арифметическое четырёх других  23 ) – ( 6 1 23 +5 15 чисел – 1,3. Найдите среднее арифметическое этих десяти чисел.

4,4(63 оценок)
Новые ответы от MOGZ: Математика
logo
Вход Регистрация
Что ты хочешь узнать?
Спроси Mozg
Открыть лучший ответ