М
Молодежь
К
Компьютеры-и-электроника
Д
Дом-и-сад
С
Стиль-и-уход-за-собой
П
Праздники-и-традиции
Т
Транспорт
П
Путешествия
С
Семейная-жизнь
Ф
Философия-и-религия
Б
Без категории
М
Мир-работы
Х
Хобби-и-рукоделие
И
Искусство-и-развлечения
В
Взаимоотношения
З
Здоровье
К
Кулинария-и-гостеприимство
Ф
Финансы-и-бизнес
П
Питомцы-и-животные
О
Образование
О
Образование-и-коммуникации

Вравнобедренном треугольнике медиана делит его периметр на части, равные 9 см и 12 см. найдите стороны треугольника. сколько решений имеет ?

👇
Ответ:
Яков222
Яков222
24.03.2021
Обозначим через х боковую сторону треугольника, а через у - его основание. Задача имеет 2 решения:

1) пусть 9 см - это часть периметра треугольника, которая содержит одну из его боковых сторон. Получим следующую систему
\begin{cases} \frac{3}{2} x=9,\\y+\frac{1}{2} x=12,\end{cases}\,\begin{cases}x=6\\y=9\end{cases}
Стороны равны 6, 6 и 9 (см).

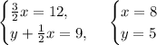
2) пусть 9 см - это часть периметр треугольника, которая содержит основание. Получим следующую систему
\begin{cases} \frac{3}{2} x=12,\\y+\frac{1}{2} x=9,\end{cases}\,\begin{cases}x=8\\y=5\end{cases}
Стороны равны 8,8 и 5 (см).
4,6(50 оценок)
Открыть все ответы
Ответ:
kariiiinaaaad
kariiiinaaaad
24.03.2021

а) 1. Глупцы не разумом, не честностью блистали (чередующаяся гласная (ЧГ) в корне блест/блист), но золотом одним. 2. Цветы (цвет) последние милей (мил) роскошных первенцев полей (поле). 3. Блеснет (ЧГ в корне блес/блис) заутра луч денницы, и заиграет яркий день. 4. Вой протяжный голодных (голод) волков раздаётся (раздаться) в тумане дремучего (словарное слово) леса. 5. Сосны в бархате (словарное слово) зеленом, и душистая смола (смолы) по чешуйчатым (словарное слово) колоннам янтарями (янтарный) потекла (течь). 6. Под золотом зАри (ЧГ в корне зар/зор) березовый лесок. 7. Березы стояли (стоя) все белые, без блеску, белые, как только выпавший

4,7(55 оценок)
Ответ:
komikadza
komikadza
24.03.2021
Один из трех стрелков производит два выстрела. 
Вероятность попадания в цель при одном выстреле для первого стрелка равна 0,4, для второго – 0,6, для третьего – 0,8. Поэтому, вероятность того, что выстрелы совершает  первый, второй или третий стрелок равна 1/3.
Вероятности того, что один из стрелков, который производит  выстрелы, и два раза попадает в цель, равны:  для 1 - го  стрелка:  р = 0,4² = 0,16
Для 2-го стрелка вероятность будет равна: р = 0,6² = 0,36
И для 3-го  стрелка она будет равняться р= 0,8² = 0,64
Искомая вероятность будет равна:    р =1/3 * ( 0,16 +0,36 +0,64) =
= 1/3 * 1,16  = 1/3 * 1 16/100 = 1/3 * 116 /100 = 116/300 = 58/150 = 29 /75

ответ р = 29/75
4,4(36 оценок)
Это интересно:
Новые ответы от MOGZ: Математика
logo
Вход Регистрация
Что ты хочешь узнать?
Спроси Mozg
Открыть лучший ответ