М
Молодежь
К
Компьютеры-и-электроника
Д
Дом-и-сад
С
Стиль-и-уход-за-собой
П
Праздники-и-традиции
Т
Транспорт
П
Путешествия
С
Семейная-жизнь
Ф
Философия-и-религия
Б
Без категории
М
Мир-работы
Х
Хобби-и-рукоделие
И
Искусство-и-развлечения
В
Взаимоотношения
З
Здоровье
К
Кулинария-и-гостеприимство
Ф
Финансы-и-бизнес
П
Питомцы-и-животные
О
Образование
О
Образование-и-коммуникации
teta89p016as
teta89p016as
18.08.2020 19:29 •  Математика

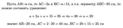
Запишите выражение для периметра треугольника авс,если ав=а см,ас в 2 раза больше,а вс на 15 см больше ав.составьте уравнение и найдите стороны треугольника авс,зная,что его периметр равен 95см.

👇
Ответ:
18Tanya
18Tanya
18.08.2020
Решение смотрите в вложении
Запишите выражение для периметра треугольника авс,если ав=а см,ас в 2 раза больше,а вс на 15 см боль
4,6(1 оценок)
Открыть все ответы
Ответ:
Anna282005u
Anna282005u
18.08.2020
1)
Верста, сажень, аршин, локоть, пядь, вершок
2)Аршин да кафтан, да два на заплатки
Борода с вершок, а слов с мешок
Верстой ближе, пятаком дешевле
Врёт семь верст до небес, и вс лесом
Два вершка (или полвершка) о горшка, а уже указчик
Его за версту видно
За семь верст комара искали, а кома — на носу
За это можно и пудовую свечк поставить
Зернышко пуд бережет
Каждый купец на свой аршин меряет
Косая сажень в плечах
Любовь не верстами меряется
Москва верстой далека, а сердц рядом
На аршин борода, да ума на пядь
На три аршина в землю видит
Не уступишь не пяди
Ни шагу назад! (ни 71 см назад)
От мысли до мысли пять тысяч верст
От слова до дела — целая верста
Охотник за семь верст ходит кисел хлебать
Писать о чужих грех аршинами, а своих — строчными буквами
Сам с ноготок, а борода с локоток
Семь верст молодцу не крюк
Семь пядей во лбу
Ты от правды на пядень, а она о тебя на сажень
Тянись верстой, да не будь простой
Тянись верстой, да не будь простой
У нее суббота через пятницу на дв вершка вылезла
Уступишь на пядь, потеряешь сажень
Шагнул и царство покорил (на 71 с шагнул и царство покорил)
3)пядь – от пялить -, (пяло, пяла - распорка) 
сажень - от сягать –(доставать до чего-нибудь) Сяг –расстояние шага 
вершок – верх перста 
Верста --2 значения: 
1) старинная русская мера длины, равная 500 саженям или 1,0668 километра (применялась до введения метрической системы) . Межевая верста равна 1000 саженей, путевая -- 500 саженям; 
2) (устар. ) верстовой столб, то есть дорожный столб, служивший для указания расстояния в вёрстах до какого-либо населённого пункта. 
др. -русск. вьрста -"возраст; пара; ровесник"; мера длины Верста – от верт – поворот, ("расстояние от одного поворота плуга до другого", то есть "длина, равная борозде, образуемой движением плуга от одного до другого поворота"). верстень - съвьрсть "одинаковый возраст" 
4,4(82 оценок)
Ответ:
Парень1231
Парень1231
18.08.2020
Для решения задачи, сперва находим вес конфет, которые были упакованы по 5 кг в каждую коробку. Для этого следует умножить общее количество коробок, а именно 120 штук, на общий вес конфет в каждой из них. В таком случае получим. 120*5=600 килограмм. После этого аналогичным находим вес конфет в коробках по 2 килограмма. 120*2=240 килограмм. Далее, чтобы узнать общий вес конфет, необходимо провести суммирование полученных значений. 600+240=840 килограмм. ответ. За день упаковали 840 килограмм конфет. вот держи надеюсь все понятно обеснил)
4,6(66 оценок)
Это интересно:
Новые ответы от MOGZ: Математика
logo
Вход Регистрация
Что ты хочешь узнать?
Спроси Mozg
Открыть лучший ответ