М
Молодежь
К
Компьютеры-и-электроника
Д
Дом-и-сад
С
Стиль-и-уход-за-собой
П
Праздники-и-традиции
Т
Транспорт
П
Путешествия
С
Семейная-жизнь
Ф
Философия-и-религия
Б
Без категории
М
Мир-работы
Х
Хобби-и-рукоделие
И
Искусство-и-развлечения
В
Взаимоотношения
З
Здоровье
К
Кулинария-и-гостеприимство
Ф
Финансы-и-бизнес
П
Питомцы-и-животные
О
Образование
О
Образование-и-коммуникации
gri6anja20021
gri6anja20021
05.01.2020 12:48 •  Математика

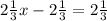
Две целых одна третья х минус две целых одна третья равно две целых одна третья

👇
Ответ:
Igor681
Igor681
05.01.2020

2\frac{1}{3}x-2\frac{1}{3}=2\frac{1}{3}

 

2\frac{1}{3}x=2\frac{1}{3}+2\frac{1}{3}

 

\frac{7}{3}x=\frac{7}{3}+\frac{7}{3}

 

\frac{7}{3}x=\frac{7+7}{3}

 

\frac{7}{3}x=\frac{14}{3}

 

x=\frac{14}{3}:\frac{7}{3}=x=\frac{14}{3}\cdot\frac{3}{7}=\frac{14}{7}=2

_______________________________________________________________________

2\frac{1}{3}\cdot2=2\frac{1}{3}+2\frac{1}{3}  (это проверка)

 

\frac{7}{3}\cdot2-\frac{7}{3}=\frac{7}{3}

 

\frac{14}{3}-\frac{7}{3}=\frac{7}{3}

 

\frac{14-7}{3}=\frac{7}{3}

 

\frac{7}{3}=\frac{7}{3}

4,4(11 оценок)
Ответ:
tanyalaim20061
tanyalaim20061
05.01.2020

7/3Х - 7/3 = 7|3 множим всё уравнение на 3, получим

7Х  - 7 = 7

7Х = 14

Х= 2

Проверка

7/3 х 2 - 7/3 = 7/3 Вынесем 7/3 за скобку

7/3(2-1)= 7/3

7/3 = 7/3

Верно, значит 2 - корень уравнения

 

ответ; 2

4,7(68 оценок)
Открыть все ответы
Ответ:
miaamkom1
miaamkom1
05.01.2020

Переведи себе на украинский, если надо, я просто не знаю как тебе надо) Сделай лучшим ответом.

Пошаговое объяснение:

х - наловили всего рыбы

х/4 + 3 - съел рыбы первый котик

(х - (х/4 + 3) )  = х - х/4 - 3 = (3/4 *х -3) - осталось рыбы после первого котика

(3/4 *х -3) /3 + 2  = 1/4 *х - 1 + 2 = (1/4 *х +1) - съел второй котик  

(3/4 * х -3) -  (х/4 +1) = 3/4 * х - 3 - х/4 - 1= (2/4 *х - 4 ) осталось рыбы после первых двух котиков  

(2/4 *х - 4) /2 +1  = 1/4 *х - 2 + 1 = (1/4 *х -1) -  съел третий котик

х = х/4 + 3 + х/4 + 1 + х/4 - 1      х = 3/4 *х +3      х - 3/4 *х = 3        х / 4 = 3

х = 12 рыбок наловили котики

4,5(26 оценок)
Ответ:
Аня1ove
Аня1ove
05.01.2020

Пошаговое объяснение:

В сантиметрах:

1 см = 10 мм

9 мм = 9 : 10 = 0,9 см

29 мм = 29 : 10 = 2,9 см

31 мм = 31 : 10 = 3,1 см

256 мм = 256 : 10 = 25,6 см

491 мм = 491 : 10 = 49,1 см

12 см 3 мм = 12 + 3 : 10 = 12 + 0,3 = 12,3 см

8 см 5 мм = 8 + 5 : 10 = 8 + 0,5 = 8,5 см

В центнерах:

1 ц = 100 кг

3 ц 24 кг = 3 + 24 : 100 = 3 + 0,24 = 3,24 ц

11 ц 8 кг = 11 + 8 : 100 = 11 + 0,08 = 11,08 ц

5 ц 24 кг = 5 + 24 : 100 = 5 + 0,24 = 5,24 ц

632 кг = 632 : 100 = 6,32 ц

3 750 кг = 3 750 : 100 = 37,5 ц

41 141 кг = 41 141 : 100 = 411,41 ц

В минутах:

1 мин. = 60 с.

2 мин. 33 с. = 2 + 33 : 60 = 2 + 0,55 = 2,55 мин.

5 мин. 42 с. = 5 + 42 : 60 = 5 + 0,7 = 5,7 мин.

9 мин. 54 с. = 9 + 54 : 60 = 9 + 0,9 = 9,9 мин.

4,5(64 оценок)
Новые ответы от MOGZ: Математика
logo
Вход Регистрация
Что ты хочешь узнать?
Спроси Mozg
Открыть лучший ответ