М
Молодежь
К
Компьютеры-и-электроника
Д
Дом-и-сад
С
Стиль-и-уход-за-собой
П
Праздники-и-традиции
Т
Транспорт
П
Путешествия
С
Семейная-жизнь
Ф
Философия-и-религия
Б
Без категории
М
Мир-работы
Х
Хобби-и-рукоделие
И
Искусство-и-развлечения
В
Взаимоотношения
З
Здоровье
К
Кулинария-и-гостеприимство
Ф
Финансы-и-бизнес
П
Питомцы-и-животные
О
Образование
О
Образование-и-коммуникации
rival6
rival6
20.03.2020 11:03 •  Математика

Решите неравенство f'(x)> 0 : f(x)=1/3x3+4x2-9x+1

👇
Ответ:
Piloti3p6i
Piloti3p6i
20.03.2020
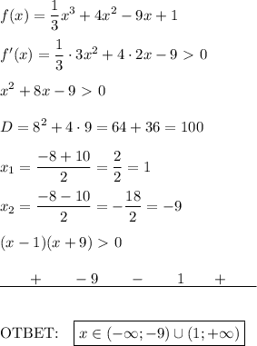
\displaystyle f(x)=\frac{1}3x^3+4x^2-9x+1\\\\f'(x)=\frac{1}3\cdot 3 x^2+4\cdot 2x-9\ \textgreater \ 0\\\\x^2+8x-9\ \textgreater \ 0\\\\D=8^2+4\cdot 9=64+36=100\\\\x_1=\frac{-8+10}2=\frac{2}2=1\\\\x_2=\frac{-8-10}2=-\frac{18}2=-9\\\\(x-1)(x+9)\ \textgreater \ 0\\\\\underline{\quad\quad + \quad\quad-9 \quad \quad - \quad \quad 1 \quad \quad + \quad \quad}\\\\\\\text{OTBET:}\quad \boxed{x\in(-\infty;-9)\cup(1;+\infty)}
4,4(98 оценок)
Открыть все ответы
Ответ:
соф29
соф29
20.03.2020

1. (60%);

2. (6т);

3. (110км).

Пошаговое объяснение:

№1.

Всего:250га---100%

Первый день:100га---?%

Второй день:150га---?%

1) 150+100=250(га)---вся вспаханная площадь

150га из 250

2) 150/250=15/25=3/5=0,6=(0,6•100%)=60(%)--часть ,которую составит,вспаханное во второй день от всей площади.

№2.

Никель: ?т----4%

Никеливая руда:150т----100%

4% от 150

1) 150:100•4=6(т)---никель составит 4% от 150т никеливой руды .

Заосвальтировано: 27,5км---25%

Весь план: ?км----100%

27,5км--это 25% от ?

1) 27,5:25•100=1,1•100=110(км)---весь план ,или же столько составит 100% плана


1 в первый день вспахали 100 га , во второй 150 га. сколько процентов всей этой площади вспахали в п
4,5(97 оценок)
Ответ:
ЯнаZL
ЯнаZL
20.03.2020

1.

100% масла = 76 % топлёного

8,5-?

8,5*76/100 = 6,46 (кг)- получится топлёного.

ответ: 6,46 кг топлёного масла получится из 8,5 кг сливочного. 

 

2.

100% свежего = 14 % сушёного

? - 91 кг суш.

91*100/14 = 650 (кг)- нужно свежего.

ответ: 650 кг нужно взять свежего картофеля, чтобы получить 91 кг сушёного картофеля.

 

3.

1)100+150 = 250 (га)- вспахали за 2 дня.

 250 га=100%

100 га - ?

2) 100*100/250 = 40 (%)- вспахали в первый день.

ответ: 40 % всей площади вспахали в первый день.

 

4.

1) 100-74 = 26 (%)- 13 станков.

26 % = 13 ст.

100% - ?

2) 13*100/26 = 50 (ст.)- надо сделать.

ответ:  50 станков надо сделать по плану.

 

5.

1) 138-120 = 18 (т)- больше собрали.

120 т = 100 %

18 т = ?

2) 100*18/120 = 15 (%)- перевыполнили.

ответ: на 15 %  учащиеся перевыполнили своё обязательство.

4,8(63 оценок)
Это интересно:
Новые ответы от MOGZ: Математика
logo
Вход Регистрация
Что ты хочешь узнать?
Спроси Mozg
Открыть лучший ответ