М
Молодежь
К
Компьютеры-и-электроника
Д
Дом-и-сад
С
Стиль-и-уход-за-собой
П
Праздники-и-традиции
Т
Транспорт
П
Путешествия
С
Семейная-жизнь
Ф
Философия-и-религия
Б
Без категории
М
Мир-работы
Х
Хобби-и-рукоделие
И
Искусство-и-развлечения
В
Взаимоотношения
З
Здоровье
К
Кулинария-и-гостеприимство
Ф
Финансы-и-бизнес
П
Питомцы-и-животные
О
Образование
О
Образование-и-коммуникации
Angelok200311
Angelok200311
23.08.2021 21:44 •  Математика

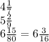
Запиши в виде смешанного числа 29: 7 47: 9 495: 80

👇
Ответ:
cherkashina711
cherkashina711
23.08.2021
4 \frac{1}{7} \\ 5 \frac{2}{9} \\ 6 \frac{15}{80} = 6 \frac{3}{16}
4,5(90 оценок)
Ответ:
theodoorka
theodoorka
23.08.2021
1. Четире целых одна седьмая
2. Пять целых две девятых
3. Шесть целых пятнадцать восьмидесятых 
4,4(47 оценок)
Открыть все ответы
Ответ:
Проект:о натуральности соков
Например тема о полезности и вреде пакетированных соков.
Выбираем один тип сока:апельсиновый,ананасовый или др.
Покупаем маленькие соки разных торговых марок.
Опытным путём определяем:
1)наличие подсластителей (делаем глоток сока,если через 5 мин.остался сладкий привкус,значит подсластитель в соке есть
2)наличие ароматизаторов (капаем соком на палец,растираем подушечками пальцев,смываем холодной водой,если пальцы стали жирными-значит ароматизаторы есть)
3)наличие красителей (смешиваем полстакана сока с 0,5.ч.л.соды.Если окрасится в бурый цвет-красителей нет.)
Для достоверности эксперимента те же действия производим сосвежевыжатым соком.
Делаем выводы.
Достаточно интересный и доступный проект для ученика 4 класса \
4,5(53 оценок)
Ответ:
katy244
katy244
23.08.2021
Функция f(x)=3x²-x³
1. Область определения - нет ограничений D(f) = R.
2.Точки пересечения графика с осями координат.
При х = 0, у = 0  точка пересечения с осью Оу.
При 3x²-x³ = 0, x²(3 - х) = 0 есть 2 точки пересечения с осью Ох: х = 0 и х = 3.
3.Промежутки возрастания и убывания.
Находим производную функции и приравниваем её 0:
f'(3x²-x³) = 6x - 3x² = 3x(2 - x) = 0.
Нашли 2 критические точки:
х = 0  и х = 2.
Находим знаки производной вблизи критических точек:
х =                 -0.5     0     1.5      2        2.5
у' =6x - 3x² = -3.75    0     2.25    0       -3.75 .
Где производная отрицательна - там функция убывает, где производная положительна - функция возрастает.
x < 0 и  x > 2  функция убывает,
0 < x < 2 функция возрастает.

4.Экстремумы видны по пункту 3. Где производная меняет знак с - на + там минимум, где с + на - там максимум:
х = 0 минимум, х = 2 максимум.


С: с 1) исследуйте функцию f(x)=3x2-x^3 по следующей схеме: 1. область определения. 2.точки пересече
4,4(77 оценок)
Новые ответы от MOGZ: Математика
logo
Вход Регистрация
Что ты хочешь узнать?
Спроси Mozg
Открыть лучший ответ