М
Молодежь
К
Компьютеры-и-электроника
Д
Дом-и-сад
С
Стиль-и-уход-за-собой
П
Праздники-и-традиции
Т
Транспорт
П
Путешествия
С
Семейная-жизнь
Ф
Философия-и-религия
Б
Без категории
М
Мир-работы
Х
Хобби-и-рукоделие
И
Искусство-и-развлечения
В
Взаимоотношения
З
Здоровье
К
Кулинария-и-гостеприимство
Ф
Финансы-и-бизнес
П
Питомцы-и-животные
О
Образование
О
Образование-и-коммуникации
SSEMAA
SSEMAA
09.10.2021 02:48 •  Математика

Является ли число 5 корнем уравнения: 1) |х|=5; 2) |х|=0,5; 3) |х|=1/5; 4) |х+3|=8; 5) |11-х|=6; 6) |х+1|=5?

👇
Ответ:
luluik
luluik
09.10.2021

1)

|x|=5\\x=\pm5

ответ: является

2)

|x|=0,5\\x=\pm0,5

ответ: не является

3)

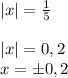
|x|=\frac{1}{5}\\\\|x|=0,2\\x=\pm0,2

ответ: не является

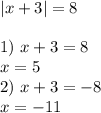
4)

|x+3|=8\\\\1)\ x+3=8\\x=5\\2)\ x+3=-8\\x=-11

ответ: является

5)

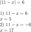
|11-x|=6\\\\1)\ 11-x=6\\x=5\\2)\ 11-x=-6\\x=17

ответ: является

6)

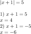
|x+1|=5\\\\1)\ x+1=5\\x=4\\2)\ x+1=-5\\x=-6

ответ: не является

4,8(27 оценок)
Открыть все ответы
Ответ:
dyba00ozclh4
dyba00ozclh4
09.10.2021

x = Π/4 + 2Π*n, n € Z

Пошаговое объяснение:

Это триг. Уравнение. Правая часть

2sin(Π/4) = 2*√2/2 = √2.

Получаем

√2*sin(2x)*sin(x+Π/4) = √2

sin(2x)*sin(x+Π/4) = 1

Функция синуса принимает значения [-1; 1].

А здесь произведение двух синусов равно 1.

Если один синус = a € (0; 1), то второй синус = 1/а > 1 - не может быть.

Если один синус = а € (-1; 0), то второй синус = 1/а < -1 - не может быть.

Значит, возможны два варианта.

1) оба синуса равны 1. Система

{ sin(2x) = 1

{ sin(x+Π/4) = 1

Отсюда

{ 2x = Π/2 + 2Π*k, k € Z

{ x + Π/4 = Π/2 + 2Π*m, m € Z

Получаем

{ x = Π/4 + Π*k

{ x = Π/4 + 2Π*m

Общий корень

x1 = Π/4 + 2Π*n, n € Z

2) оба синуса равны -1. Система

{ sin(2x) = -1

{ sin(x+Π/4) = -1

Отсюда

{ 2x = -Π/2 + 2Π*k, k € Z

{ x + Π/4 = -Π/2 + 2Π*m, m € Z

Получаем

{ x = -Π/4 + Π*k = 3Π/4 + Π*(k-1)

{ x = -3Π/4 + 2Π*m = 5Π/4 + 2Π*(m-1)

Эти корни не пересекаются, поэтому решений нет.

4,5(8 оценок)
Ответ:
annaaverina
annaaverina
09.10.2021
Задача № 1.

Мартышка Зося, Тося, Бося и Дося - хотят стать участниками чемпионата по бальным танцам. Но проблема, нужен кавалер. На пришли Артур, Картер и Дактур. Победить в чемпионате может только одна пара. Сколько возможных вариантов пар-победительниц можно составить?

Зося, Тося, Бося, Дося - 4 мартышки.

Артур, Картер, Дактур - 3 обезьяны.

Соответственно можно 3 обезьяны перемножить на 4 мартышки и получится 12 вариантов пар-победительниц.

ответ: 12 вариантов пар-победительниц.

Посчитаем пары:

Зоя с Артуром, Картером, Дактуром - 3 возможные пары-победительницы;

Тася с Артуром, Картером, Дактуром - 3 возможные пары-победительницы;

Бося с Артуром, Картером, Дактуром - 3 возможные пары-победительницы;

Дося с Артуром, Картером, Дактуром - 3 возможные пары-победительницы;

Итог: 3 + 3 + 3 + 3 = 6 + 6 = 12 вариантов пар-победительниц.

ответ: 12 вариантов пар-победительниц.
4,8(19 оценок)
Новые ответы от MOGZ: Математика
Полный доступ к MOGZ
Живи умнее Безлимитный доступ к MOGZ Оформи подписку
logo
Вход Регистрация
Что ты хочешь узнать?
Спроси Mozg
Открыть лучший ответ