М
Молодежь
К
Компьютеры-и-электроника
Д
Дом-и-сад
С
Стиль-и-уход-за-собой
П
Праздники-и-традиции
Т
Транспорт
П
Путешествия
С
Семейная-жизнь
Ф
Философия-и-религия
Б
Без категории
М
Мир-работы
Х
Хобби-и-рукоделие
И
Искусство-и-развлечения
В
Взаимоотношения
З
Здоровье
К
Кулинария-и-гостеприимство
Ф
Финансы-и-бизнес
П
Питомцы-и-животные
О
Образование
О
Образование-и-коммуникации
flagvamvruke
flagvamvruke
04.11.2022 21:22 •  Математика

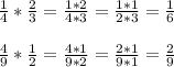
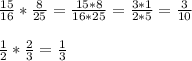
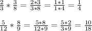
Выполните умножение: 1/4*2/3; 4/9*1/2; 2/3*3/8; 5/12*8/9; 15/16*8/25; 1/2*2/3; 3/4*1/6; 7/15*5/7.

👇
Ответ:
айдана152
айдана152
04.11.2022
\frac{1}{4} * \frac{2}{3} = \frac{1*2}{4*3} = \frac{1*1}{2*3} = \frac{1}{6} \\ \\ 
 \frac{4}{9} * \frac{1}{2} = \frac{4*1}{9*2} = \frac{2*1}{9*1} = \frac{2}{9} \\ \\
\frac{2}{3} * \frac{3}{8} = \frac{2*3}{3*8} = \frac{1*1}{1*4} = \frac{1}{4} \\ \\ 
 \frac{5}{12} * \frac{8}{9} = \frac{5*8}{12*9} = \frac{5*2}{3*9} = \frac{10}{18} \\ \\
\frac{15}{16} * \frac{8}{25} = \frac{15*8}{16*25} = \frac{3*1}{2*5} = \frac{3}{10} \\ \\ 
 \frac{1}{2} * \frac{2}{3} = \frac{1}{3} \\ \\
\frac{3}{4} * \frac{1}{6} = \frac{1*1}{4*2} = \frac{1}{8}

\frac{7}{15} * \frac{5}{7} = \frac{1*1}{3*1} = \frac{1}{3}
4,7(63 оценок)
Открыть все ответы
Ответ:
HelpMePlsIs
HelpMePlsIs
04.11.2022
Стоунхендж — гигантская каменная загадка в самом центре Европы. Сегодня мы знаем очень немного о его возникновении, истории и назначении, но даже этой информации хватает, чтобы понять: обычные люди никак не могли рассчитать и построить такую громадину… Стоунхендж находится в центре самого плотного комплекса памятников неолита и бронзового века в Англии. Сам памятник и его окрестности были включены в список Всемирного наследия ЮНЕСКО в 1986 г. вместе с Эйвбери. Стоунхендж передан британской короной в управление «Английскому наследию», тогда как ближайшие окрестности принадлежат Национальному трасту. Существует множество гипотез возникновения Стоунхенджа: 1)версия того, что Стоунхендж был сооружен в 3500 -1100 гг. до н.э. и служил исключительно для наблюдения за Солнцем и Луной; 2)существует версия о том, что авторы Стоунхенджа – те же люди, которые строили Египетские пирамиды;3) популярной является и версия о Стоунхендже как священном месте, где совершали свои обряды древние кельты-друиды; 4)в последнее время популярной является версия о неземном происхождении Стоунхенджа – якобы и здесь «приложили руку» инопланетяне. Какая бы версия не оказалась правдивой на самом деле, ясно одно – Стоунхендж еще долгие годы будет поражать людей своим величием, таинственностью и уникальностью.
4,6(52 оценок)
Ответ:
Anastasiia11111111
Anastasiia11111111
04.11.2022
(х - 0,15) : 4,8 - 0,4 = 1,5
(х - 0,15) : 4,8 = 1,5 + 0,4
(х - 0,15) : 4,8 = 1,9
х - 0,15 = 1,9 * 4,8
х - 0,15 = 9,12
х = 9,12 + 0,15
х = 9,27

Проверка: (9,27 - 0,15) : 4,8 - 0,4 = 1,5
                  9,12 : 4,8 - 0,4 = 1,5
                  1,9 - 0,4 = 1,5
                  1,5 = 1,5

27,88 : (9 - х) - 0,9 = 3,2
27,88 : (9 - х) = 3,2 + 0,9
27,88 : (9 - х) = 4,1
9 - х = 27,88 : 4,1
9 - х = 6,8
х = 9 - 6,8
х = 2,2

Проверка: 27,88 : (9 - 2,2) - 0,9 = 3,2
                  27,88 : 6,8 - 0,9 = 3,2
                  4,1 - 0,9 = 3,2
                  3,2 = 3,2   
4,7(18 оценок)
Новые ответы от MOGZ: Математика
logo
Вход Регистрация
Что ты хочешь узнать?
Спроси Mozg
Открыть лучший ответ