
надо найти наибольший общий делитель для чисел (135;180;225)
чтобы разложить в одинаковые ящики надо найти надо найти наибольший общий делитель для чисел (135;180;225)
чтобы разложить в одинаковые ящики надо найти НОД(135;180;225).
Пошаговое объяснение:надо найти наибольший общий делитель для чисел (135;180;225)
Пошаговое объяснение:
разложение на множители и нахождение НОД записано внизу.Чтобы найтиНОД надо из разложения чисел выписать делители, которые встречаются в каждом разложении .НОД(135;180;225)=9 ,значит все фрукты можно разложить в ящики по 9 кг.
надо найти наибольший общий делитель для чисел (135;180;225)
чтобы разложить в одинаковые ящики надо найти надо найти наибольший общий делитель для чисел (135;180;225)
чтобы разложить в одинаковые ящики надо найти НОД(135;180;225).
Пошаговое объяснение:надо найти наибольший общий делитель для чисел (135;180;225)
Пошаговое объяснение:
разложение на множители и нахождение НОД записано внизу.Чтобы найтиНОД надо из разложения чисел выписать делители, которые встречаются в каждом разложении .НОД(135;180;225)=9 ,значит все фрукты можно разложить в ящики по 9 кг.
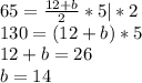
S=a+b/2*h, преобразуем выражение:
2S=(a+b) * h
a+b=2S:h
b=(2S:h)-a=(65*2:5)-12=130:5-12=26-12=14.
ответ: b=14