по свойствам пропорции 
1. (400-80*3):20 — первым действием умножение вторым вычитание а третьим деление
2. Сумма = 1сл.+2сл. 2 сл.= сумма - 1сл. 2 слагаемое = 80-20 = 60
ответ: 60.
3. Делимое= делитель*частное. Делимое=40*2 =80
ответ: 80.
4. 5090м=5км 90м, так как 1 км = 1000м
5. Начинаем с тонны переводим с тонны в кг 1 тонна=1000кг 3т=3*1000=3000кг, 3000кг+4кг=3004кг, 3т4кг=3004кг.
6. В 1ч = 60 мин . Значит 1ч 20 мин. = 80 мин. ответ: 1ч. 20 мин. меньше, чем 100 мин.
7. 1)240:12=20 руб - за 1кг; 2) 20*7=140 кг - за 7 кг
8. 1) 20 * 6 = 120 (км). - скорость в первый день 2) 120 / 8 = 15 (км/ч). - скорость во второй день
9. Начерти отрезок в две и чуть больше половины клетки.
10. 1) 5 *4=20 см - периметр квадрата
11. -
12. 570 - 570 = 0
13. 300 * 1 = 300
14. Х - 60 = 330 ; х = 330 + 60 =390 ; х =390
15. х*5=350 ; х=350:5=60 ; х=60
16. Всего марок было 120 1) 120 /2=60 - половина марок
2) 120 -60- 3 =57 - марок у Маши
17. 8 Потому что 10,11,12 просто идут по порядку,а 2,4,6 это таблица умножения на 2
18. ответ 346+255=601
Пошаговое объяснение:
1)деление на 20
2)60
3)80
4)5км90м
5)3004кг
6)100минут больше
7)140р
8)15км/ч
9)начертишь)
10)20см
11)20дм
12)0
13)300
14)390
15)70
16)57
17)2,4,6,8
10,11,12,13
18)346+255=601
Объяснения
1) потому что то-что в скобках выполняется первым
2)80-20=60
3)40*2=80
4)1 км=1000м
5)1т=1000кг
6)1ч20м это 80минут
7)240:12=20 20*7=140р
8)6*20=120 и теперь расстояние делить на время 120:8=15км/ч
9)))
10)2*(5+5)=20см
11)4+1=5 5*4=20
12)570-570=0
13)300*1=300
14)330+60=390
390-60=330
15)350/5=70
16)120/2=60-3=57
17)2,4,6,8
10,11,12,13
18)346+255=601
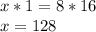
х=16*8
х=128
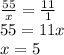
55/х=11
х=55/11
х=5