М
Молодежь
К
Компьютеры-и-электроника
Д
Дом-и-сад
С
Стиль-и-уход-за-собой
П
Праздники-и-традиции
Т
Транспорт
П
Путешествия
С
Семейная-жизнь
Ф
Философия-и-религия
Б
Без категории
М
Мир-работы
Х
Хобби-и-рукоделие
И
Искусство-и-развлечения
В
Взаимоотношения
З
Здоровье
К
Кулинария-и-гостеприимство
Ф
Финансы-и-бизнес
П
Питомцы-и-животные
О
Образование
О
Образование-и-коммуникации
5757azfffgghhhj
5757azfffgghhhj
22.05.2020 06:54 •  Математика

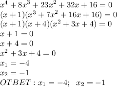
Сколько корней имеет уравнение x⁴+8х³+23х²+32х+16=0? ​

👇
Ответ:
1mizik1
1mizik1
22.05.2020
 {x}^{4} + {8x}^{3} + {23x}^{2} + 32x + 16 = 0 \\ (x + 1)({x}^{3} + {7x}^{2} + 16x + 16) = 0 \\ (x + 1)(x + 4)({x}^{2} + 3x + 4) = 0 \\ x + 1 = 0 \\ x + 4 = 0 \\ {x}^{2} + 3x + 4 = 0 \\ x_1 = - 4 \\ x_2 = - 1 \\ OTBET: x_1 = - 4; \: \: \: x_2 = - 1
4,4(15 оценок)
Открыть все ответы
Ответ:
boatengknhalotldze
boatengknhalotldze
22.05.2020

1. Найдем сколько пшеницы собрали с первого поля.

52 * 41,12 = 2138,24 (ц) пшеницы собрали с первого поля.

2. Найдем какова площадь двух полей вместе.

52 + 64 = 116 (га) площадь двух полей.

3. Вычислим сколько пшеницы собрали с двух полей.

116 * 45 = 5220 (ц) собрали с двух полей.

4. Найдем сколько пшеницы собрали со второго поля.

5220 - 2138,24 =3081,76  (ц)  собрали со второго поля.

5. Найдем урожайность второго поля.

3081,76 / 64 = 48,1525 (ц)урожайность второго поля.

ответ: 48,1525 ц.

Пошаговое объяснение:

4,6(37 оценок)
Ответ:
lala70
lala70
22.05.2020

ответ: Обозначим через х число книг, которые стояли на первой полке первоначально.

Согласно условию задачи, на двух полках книг было поровну, следовательно, на второй полке также было х книг.

Согласно условию задачи, после того, как с первой полки сняли 8 книг, а со второй полки сняли 24 книги, на первой полке стояло книг в 3 раза больше, чем на второй, следовательно, можем составить следующее уравнение:  

х - 8 = 3 * (х - 24).

Решаем полученное уравнение:

х - 8 = 3х - 72;

3х - х = 72 - 8;

2х = 64;

х = 64 / 2;

х = 32.

ответ: на каждой полке сначала было по 32 книги. СМОЖЕШЬ ВОТ ОБРАЗЕЦ??

4,4(73 оценок)
Это интересно:
Новые ответы от MOGZ: Математика
logo
Вход Регистрация
Что ты хочешь узнать?
Спроси Mozg
Открыть лучший ответ