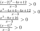
![2log_8(x-2)-log_8(x-3)\frac{2}{3}\; \; ODZ\, :\; \left \{ {{x2} \atop {x3}} \right.\; \; \Rightarrow \; \; \underline {x3}\\\\log_8(x-2)^2-log_8(x-3)\frac{2}{3}\\\\log_8\frac{(x-2)^2}{x-3}log_88^{\frac{2}{3}}\; \; ,\; \; 8^{\frac{2}{3}}=\sqrt[3]{8^2}=\sqrt[3]{2^6}=2^2=4\\\\\frac{(x-2)^2}{x-3}4\; \; ,\; \; \frac{x^2-4x+4-4(x-3)}{x-3}0\; \; ,\; \; \frac{x^2-8x+16}{x-3}0\; \; ,\; \; \frac{(x-4)^2}{x-3}0\; ,\\\\znaki\, :\; \; \; ---(3)+++(4)+++\\\\x\in (3,4)\cup (4,+\infty )](/tpl/images/0505/3798/616cb.png)


Пошаговое объяснение:
ОДЗ:

Внесём 2 в степень:

По свойству степени:

Возведём 8 в эти степени
А т.к. 8>1, то знак неравенства не поменяется:

По определению логарифма:
![\frac{ {(x - 2)}^{2} }{x - 3} \sqrt[3]{ {8}^{2} }](/tpl/images/0505/3798/401be.png)

Внесём в дробь -4:

Числитель всегда больше либо равен нуля значит надо потребовать чтобы знаменатель был больше нуля
И числитель должен быть не равен нулю:
x≠4


С учётом ОДЗ, А ОНО У НАС:
x>3
x€(3;4)U(4;+бесконечности)
Я старался! :)