Вход
Регистрация
Спроси Mozg AI
М
Молодежь
К
Компьютеры-и-электроника
Д
Дом-и-сад
С
Стиль-и-уход-за-собой
П
Праздники-и-традиции
Т
Транспорт
П
Путешествия
С
Семейная-жизнь
Ф
Философия-и-религия
Б
Без категории
М
Мир-работы
Х
Хобби-и-рукоделие
И
Искусство-и-развлечения
В
Взаимоотношения
З
Здоровье
К
Кулинария-и-гостеприимство
Ф
Финансы-и-бизнес
П
Питомцы-и-животные
О
Образование
О
Образование-и-коммуникации
.....больше.....
..меньше..
Dataxxx
27.08.2022 13:53 •
Математика
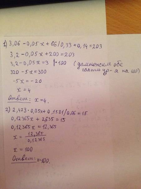
Решить уравнение 3.06-0.05*x+66/0.33+0.14=203 и 2.473*0.05*x+0.1581/0.06=15 (/=деление, *=умножение)
👇
Увидеть ответ
Ответ:
magmadi1
27.08.2022
Решение смотри на фото
4,6
(94 оценок)
Открыть все ответы
Ответ:
katerinaplachet
27.08.2022
а) 25z + 49 = 149 б) 13 + 10t = 163 в) 9у - 54 = 162 г) 181-8r =45
25z = 149 - 49 10t = 163 - 13 9у = 162 + 54 181 - 45 = 8r
25z = 100 10t = 150 9у = 216 136 = 8r
z = 100 : 25 t = 150 : 10 у = 216 : 9 r = 136 : 8
z = 4 t = 15 у = 24 r = 17
Проверка: Проверка: Проверка: Проверка:
25 * 4 + 49 = 149 13 + 10 * 15 = 163 9 * 24 - 54 = 162 181-8*17 = 45
100 + 49 = 149 13 + 150 = 163 216 - 54 = 162 181 - 136 = 45
149 = 149 163=163 162=162 45=45
ответ: z = 4 ответ: t = 15 ответ: у = 24 ответ: r = 17
4,5
(27 оценок)
Ответ:
wbkamtoy
27.08.2022
а) 25z + 49 = 149 б) 13 + 10t = 163 в) 9у - 54 = 162 г) 181-8r =45
25z = 149 - 49 10t = 163 - 13 9у = 162 + 54 181 - 45 = 8r
25z = 100 10t = 150 9у = 216 136 = 8r
z = 100 : 25 t = 150 : 10 у = 216 : 9 r = 136 : 8
z = 4 t = 15 у = 24 r = 17
Проверка: Проверка: Проверка: Проверка:
25 * 4 + 49 = 149 13 + 10 * 15 = 163 9 * 24 - 54 = 162 181-8*17 = 45
100 + 49 = 149 13 + 150 = 163 216 - 54 = 162 181 - 136 = 45
149 = 149 163=163 162=162 45=45
ответ: z = 4 ответ: t = 15 ответ: у = 24 ответ: r = 17
4,5
(21 оценок)
Это интересно:
И
Искусство-и-развлечения
01.04.2021
Как научиться петь: советы для начинающих...
К
Компьютеры-и-электроника
01.03.2023
Как войти в Windows со стандартным паролем администратора...
К
Компьютеры-и-электроника
15.06.2021
Как открыть программу Terminal на Mac...
Х
Хобби-и-рукоделие
01.01.2022
Как сделать купальник: советы от профессионала...
22.07.2022
Боязнь высоты: как преодолеть её и наслаждаться жизнью...
Х
Хобби-и-рукоделие
29.07.2020
Как сделать буклет из бумаги: пошаговая инструкция для начинающих...
К
Компьютеры-и-электроника
05.06.2023
Узнайте, как скачать ролики с YouTube, используя Chrome...
З
Здоровье
30.09.2022
10 способов использования эфирных масел для улучшения вашего здоровья и красоты...
Д
Дом-и-сад
28.09.2020
Как удалить кофейное пятно с шелка: лучшие способы...
О
Образование-и-коммуникации
25.10.2020
Как подкислить почву: советы, рекомендации, идеи...
Новые ответы от MOGZ: Математика
фокс36
15.12.2022
Ыгулар 8. Градустық өлшемдері: 10 82 ; 2) 110; 3) 50° ыш, биссектрисамен неше градустық бұрыштарға бөлінеді?...
dashafomina94
15.12.2022
Жумысшылар балалар аланкаиын салу ушин олшеу жумыстарын жургизди...
МАМКУМАЛ2002
19.07.2021
Во второй картинке уточнения на задания е и ж...
olegovnao27
07.06.2023
У розчині міститься 40% солі. Якщо додати 120 г солі, то в розчині буде міститися 70% солі. Яка початкова маса розчину? Скільки грамів солі було в розчині спочатку УМОЛЯЮ...
ayzilyamannano
01.12.2020
Найдите сумму чисел 612 и 24 Вычислите произведение чисел 60 и 80 На сколько число 400 больше 120 Во сколько раз число 1500 больше 30 Число 17 увеличьте на 217 Число 470 уменьшите...
Yana20056578910
25.05.2021
Спряжение слабых глаголов в настоящем времени по немецкому языку...
KatkatamailRu
05.09.2020
Составь программу действий 795-5 *4:6+18...
Lbailieva
22.05.2023
Решить столбиком примеры: 48 360 + 15 999 1 289 * 52 26 504 – 19 830 86 071 : 17 № 2. За 14 билетов в театр заплатили 2 520 р. Билет в цирк на 40 р. Дешевле билета в театр. Сколько...
botovaov
07.05.2021
Решите уравнение 3x-7,8=5x+9,2...
rajbowa1
20.07.2021
Выразите в сантиметрах: 1/2 м 3/10 м 1/5 м 7/10 м 1/10 м...
MOGZ ответил
Каждый сотрудник предприятия получает электронный пропуск, на котором записаны...
Предприниматель решил открыть собственный бизнес по предоставлению услуг перевозки...
Средство выразительности предложения Читать Денникса ...
1. Число Авогадро А) 6,02•1023 моль-1 B) 6,02•1023 C) 22,4 л/моль D) 1,66•10-27...
Каким показан воробей? Подготовьте рассказ о воробье по ПАМЯТКЕ 6 (учительница...
Вариант - 4. С объяснением....
Примените распределительный закон умножения ...
Ставлення Тома Сойєра до родини...
Создаите программу вычисления стоимости товара по его цене и количества. ...
Тягарець массою 250 г, підвішенний до пружини жорсткістю 100H/м, коливаеться з...
Полный доступ к MOGZ
Живи умнее Безлимитный доступ к MOGZ
Оформи подписку
О НАС
О нас
Блог
Условия пользования
Авторское право
Политика конфиденциальности
Предпочтения cookie-файлов
ПОМОЩЬ
Зарегистрируйся
Центр помощи
Центр безопасности
App
Вход
Регистрация
Что ты хочешь узнать?
Спроси Mozg
Открыть лучший ответ