М
Молодежь
К
Компьютеры-и-электроника
Д
Дом-и-сад
С
Стиль-и-уход-за-собой
П
Праздники-и-традиции
Т
Транспорт
П
Путешествия
С
Семейная-жизнь
Ф
Философия-и-религия
Б
Без категории
М
Мир-работы
Х
Хобби-и-рукоделие
И
Искусство-и-развлечения
В
Взаимоотношения
З
Здоровье
К
Кулинария-и-гостеприимство
Ф
Финансы-и-бизнес
П
Питомцы-и-животные
О
Образование
О
Образование-и-коммуникации

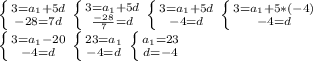
Варифметической прогрессии a6 = 3, a13 = -25. найдите разность прогрессии.

👇
Ответ:
PadhD
PadhD
02.07.2021
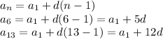
Используем формулу для нахождения н-го члена арифметической прогрессии
a_{\\n}=a_{1}+d(n-1)\\a_{6}=a_{1}+d(6-1)=a_{1}+5d\\a_{13}=a_{1}+d(13-1)=a_{1}+12d
Подставим значения и получим систему
\left \{ {{3=a_{1}+5d} \atop {-25=a_{1}+12d}} \right.
Из второго уравнения вычтем первое
\left \{ {{3=a_{1}+5d} \atop {-28=7d}} \right. \left \{ {{3=a_{1}+5d} \atop {\frac{-28}{7}=d}} \right. \left \{ {{3=a_{1}+5d} \atop {-4=d}} \right. \left \{ {{3=a_{1}+5*(-4)} \atop {-4=d}} \right. \\\left \{ {{3=a_{1}-20} \atop {-4=d}} \right. \left \{ {{23=a_{1}} \atop {-4=d}} \right.\left \{ {{a_{1}=23} \atop {d=-4}} \right.
ответ: разность арифметической прогрессии равна -4
4,7(72 оценок)
Открыть все ответы
Ответ:
Ольга198414
Ольга198414
02.07.2021
Привет, всем. Я учусь в школе, во втором классе и мне это очень нравиться. Каждый день я делаю много уроков и стараюсь все запоминать. Ежедневно я собираю портфель, кладу туда учебники и тетради по разным предметам. Учусь я на пятерки и четверки. В школе у меня есть много друзей. После уроков я иду домой и показываю маме свой дневник, где нет двоек. Мне очень нравиться учиться в школе.

Сәлем, барлық. Я учусь в школе, екінші сыныпта және бұл маған өте қатты ұнайды. Әрбір ісімді көп сабақтар мен тырысамын бәрі есте. Күн сайын мен түсініктеме портфелі, кладу сонда оқулықтар және дәптерлер, түрлі пәндер. Оқимын мен бестік пен төрттік. Мектепте менде бар достар көп. Сабақтан кейін мен үйге барамын және показываю анасына өз күнделігі, екі " бағасы болған жоқ. Маған өте ұнайды үйрену.
4,8(60 оценок)
Ответ:
barnyrossa
barnyrossa
02.07.2021
1) Маша купила 4 тетради  в клетку  по  9 рублей каждая. Сколько рублей  заплатила Маша за все тетради?
Цена одной тетради   9  руб.
Кол-во тетрадей  4 шт.
Стоимость всех тетрадей  ? руб.
4 × 9 = 36 (руб.) 
ответ:  36  руб.  заплатила Маша за все тетради.

2) Маша купила  4 тетради , заплатив за всю покупку  36 руб.  Какова цена  одной тетради?
Цена одной  тетради    ? руб.
Кол-во  тетрадей          4 шт.
Стоимость всех тетрадей    36 руб.
1) 36 : 4 = 9 (руб.) 
ответ:  9 рублей цена одной тетради.

3) Маша купила  тетради в клетку по цене  9 руб. за каждую, заплатив за все тетради  36 руб.  Сколько  тетрадей купила Маша?
Цена одной тетради     9 руб.
Количество тетрадей   ? шт.
Стоимость всех тетрадей  36 руб.
1) 36  : 9 =  4 (шт.)
ответ:  4 тетради  купила Маша.
4,5(63 оценок)
Это интересно:
Новые ответы от MOGZ: Математика
logo
Вход Регистрация
Что ты хочешь узнать?
Спроси Mozg
Открыть лучший ответ