М
Молодежь
К
Компьютеры-и-электроника
Д
Дом-и-сад
С
Стиль-и-уход-за-собой
П
Праздники-и-традиции
Т
Транспорт
П
Путешествия
С
Семейная-жизнь
Ф
Философия-и-религия
Б
Без категории
М
Мир-работы
Х
Хобби-и-рукоделие
И
Искусство-и-развлечения
В
Взаимоотношения
З
Здоровье
К
Кулинария-и-гостеприимство
Ф
Финансы-и-бизнес
П
Питомцы-и-животные
О
Образование
О
Образование-и-коммуникации
Malishka9209
Malishka9209
25.01.2023 09:01 •  Математика

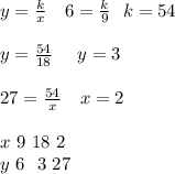
Заполните таблицу, если величина y обратно пропорциональна величине x. x 9 18 _ y 6 _ 27

👇
Ответ:
princessa2016
princessa2016
25.01.2023
Нужно найти коэффициент пропорциональности
y =\frac{k}{x} \ \ \ 6=\frac{k}{9} \ \ k=54 \\ \\ y=\frac{54}{18} \ \ \ \ y=3 \\ \\ 27=\frac{54}{x}\ \ \ x=2 \\ \\ x \ 9 \ 18 \ 2 \\ y \ 6 \ \ 3 \ 27

4,6(55 оценок)
Открыть все ответы
Ответ:
Polyak56
Polyak56
25.01.2023

Пошаговое объяснение:

Среднее арифметическое двух чисел равно 41.

Одно число больше другого в 11,5 раз.

Найди эти числа.

Решение.

Средним арифметическим нескольких чисел называют частное от деления суммы этих чисел на количество слагаемых.

Пусть первое число равно х.

Тогда второе число равно (х * 11,5).

Зная, что среднее арифметическое двух чисел равно 41 - составим уравнение:

х + (х * 11,5) : 2 = 41

(х + 11,5х) : 2 = 41

12,5х : 2 = 41

12,5х = 41 * 2

12,5х = 82

х = 82 : 12,5

х = 6,56

Меньшее число равно 6,56.

Большее число равно 6,56 * 11,5 = 75,44.

Проверка:

(6,56 + 75,44) : 2 = 82 : 2 = 41

Меньшее число равно 6,56.

Большее число равно 75,44.

4,4(14 оценок)
Ответ:
В левой части 10*0,2^(1-х)=10*0,2*(1/5)^(-х)=2*5^х. В правой части 0,04^(-х)=(1/25)^(-х)=25^х=5^(2х) Делаем замену 5^x=y Должно быть х > 0, значит у >1 Получаем |2y-a|-|y+2a|=y^2 Получили квадратное уравнение, у которого должно быть два положительных корня. D>0, a=1 y1=(-b-sqrt(D))/2; y2=(-b+sqrt(D))/2 Ясно, что y2>y1, поэтому достаточно решить неравенство -b - sqrt(D) > 1 Проверяем разные варианты 1) Если 2y-a<0 и y+2a<0, то a-2y-(-y-2a)=y^2 3a-y=y^2 y^2+y-3a=0 D=1+12a y1=(-1 - sqrt(1+12а))/2<0 при любом а Этот вариант не подходит. 2) Если 2y-a>0 и y+2a<0, то 2y-a-(-y-2a)=y^2 3y+a=y^2 y^2-3y-a=0 D=9+4a >= 0 a >= -9/4 y1=(3-sqrt(9+4a))/2>1 sqrt(9+4a)<1 9+4a<1 a<-2, но a>=-9/4 Решение: a € [-9/4; -2) 3) Если 2y-a<0 и y+2a>0, то -2y+a-(y-2a)=y^2 -3y+3a=y^2 y^2+3y-3a=0 D=9+12a y1=(-3-sqrt(9+12a))/2<0 при любом а Этот вариант нам не подходит. 4) Если 2y-a>0 и y+2a>0, то 2y-a-(y+2a)=y^2 y-3a=y^2 y^2-y+3a=0 D=1-12a >=0 a <= 1/12 y1=(1-sqrt(1-12a))/2 >1 sqrt(1-12a)<-1 Решений нет ответ: а € [-9/4; -2)
4,4(19 оценок)
Новые ответы от MOGZ: Математика
logo
Вход Регистрация
Что ты хочешь узнать?
Спроси Mozg
Открыть лучший ответ