М
Молодежь
К
Компьютеры-и-электроника
Д
Дом-и-сад
С
Стиль-и-уход-за-собой
П
Праздники-и-традиции
Т
Транспорт
П
Путешествия
С
Семейная-жизнь
Ф
Философия-и-религия
Б
Без категории
М
Мир-работы
Х
Хобби-и-рукоделие
И
Искусство-и-развлечения
В
Взаимоотношения
З
Здоровье
К
Кулинария-и-гостеприимство
Ф
Финансы-и-бизнес
П
Питомцы-и-животные
О
Образование
О
Образование-и-коммуникации
sevliekaterina2
sevliekaterina2
29.03.2023 14:56 •  Математика

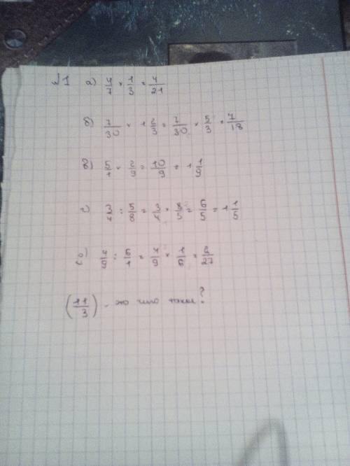
4/7*1/3 7/30*1 2/3 5*2/9 3/4: 5/8 4/9: 6 ( 1 1/3) решыть

👇
Ответ:
knoposhka123
knoposhka123
29.03.2023
Если что-то не понятно, пиши
4/7*1/3 7/30*1 2/3 5*2/9 3/4: 5/8 4/9: 6 ( 1 1/3) решыть
4,7(18 оценок)
Открыть все ответы
Ответ:
katyabobkova
katyabobkova
29.03.2023
1) пусть х - длина поезда, тогда (скорость одна и та же в обоих случаях)
х/18 = (х+315)/33
33х =18(х+315)
33х = 18х + 18*315
15х = 5670
х = 378
ответ: 378 метров
2) расстояние одно и то же. Примем за х - время, в которое во время придет пешеход
15мин = 0,25 часа
45мин = 0,75 часа, тогда
(х+0,75)*5 = (х-0,25)6
5х + 3,75 = 6х - 1,5
х = 3,75 + 1,5
х = 5,25 часа (т. е. 5 часов и 15 минут) . Тогда возьмем, например, скорость 6 км/ч и опоздание на 15 минут и подставим известное время х в уравнение (х - 0,25)*6 = расстояние:
(5,25 - 0,25)*6=5*6=30км
ответ: 30км
4,4(75 оценок)
Ответ:
Choch121
Choch121
29.03.2023
1) пусть х - длина поезда, тогда (скорость одна и та же в обоих случаях)
х/18 = (х+315)/33
33х =18(х+315)
33х = 18х + 18*315
15х = 5670
х = 378
ответ: 378 метров
2) расстояние одно и то же. Примем за х - время, в которое во время придет пешеход
15мин = 0,25 часа
45мин = 0,75 часа, тогда
(х+0,75)*5 = (х-0,25)6
5х + 3,75 = 6х - 1,5
х = 3,75 + 1,5
х = 5,25 часа (т. е. 5 часов и 15 минут) . Тогда возьмем, например, скорость 6 км/ч и опоздание на 15 минут и подставим известное время х в уравнение (х - 0,25)*6 = расстояние:
(5,25 - 0,25)*6=5*6=30км
ответ: 30км
4,6(100 оценок)
Это интересно:
Новые ответы от MOGZ: Математика
logo
Вход Регистрация
Что ты хочешь узнать?
Спроси Mozg
Открыть лучший ответ