М
Молодежь
К
Компьютеры-и-электроника
Д
Дом-и-сад
С
Стиль-и-уход-за-собой
П
Праздники-и-традиции
Т
Транспорт
П
Путешествия
С
Семейная-жизнь
Ф
Философия-и-религия
Б
Без категории
М
Мир-работы
Х
Хобби-и-рукоделие
И
Искусство-и-развлечения
В
Взаимоотношения
З
Здоровье
К
Кулинария-и-гостеприимство
Ф
Финансы-и-бизнес
П
Питомцы-и-животные
О
Образование
О
Образование-и-коммуникации
altynai0504
altynai0504
13.11.2021 19:43 •  Математика

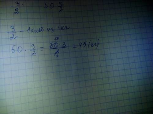
Из 2 кг выходит 3 кг печёного хлеба сколько хлеба выйдет из 50 кг муки

👇
Ответ:
Гоша2285
Гоша2285
13.11.2021
ответ во вложении) 75 кг
Из 2 кг выходит 3 кг печёного хлеба сколько хлеба выйдет из 50 кг муки
4,6(88 оценок)
Открыть все ответы
Ответ:
Углич является одним из городов Золотого кольца России, часто посещается туристами (в городе останавливаются круизныетеплоходы, следующие по Волге) . В городе сохранились
многочисленные образцы русской архитектуры.
Среди основных достопримечательностей Углича:
Угличский кремль с церковью Дмитрия на Крови Преображенским собором
(1713), колокольней (1730), палатами царевича Димитрия (1482) и др.
Свято-Воскресенский монастырь. Богоявленский монастырь. Алексеевский монастырь (1371) с Успенской («Дивной» ) церковью (1628).Церковь Иоанна Предтечи (1689—1690).Богоявленский собор (1843—1853).Ансамбль Торговой площади — Торговые ряды (1860), купеческие дома. Гражданская застройка города XVIII—XIX веков (Зимин двор) . В 11 км от города, в селе Улейма расположен Николо-Улейминский монастырь (основан в 1400).
4,5(82 оценок)
Ответ:
krohaaaaaaaa
krohaaaaaaaa
13.11.2021
1.НОВЫЕ ДВОРЯНЕ- это мелкопоместные землевладельцы в Англии, с XV в. при своё хозяйство к буржуазным экономическим отношениям. 
2. Потому что вся Англия превратилась в одно большое пастбище. Разведение овец приносило очень большие доходы, другие отросли развивались плохо, возникла поговорка "овцы съели Англию".
3. Экономическое развитие Англии в XI-XV вв. Завершение феодализации Процесс феодализации в Англии протекал медленнее, чем во Франции. Причинами этому было отсутствие колоната, устойчивость крестьянской общины и др., хотя возникло феодальное имение — манор. С XI в. в результате нормандских завоеваний процесс феодализации в Англии ускорился: усилилась манорная система, начался период ее расцвета.
4.Установленным Елизаветой I законам дали бы соответствующую оценку.(ОТВЕТ НА ЭТОТ ВОПРОС НЕТОЧНЫЙ, Т.К С ЭТИМ БЫЛИ ЗАТРУДНЕНИЯ)
5.Её географическое положение,ведь у Англии есть выход в море, удаленность от военных угроз.
4,6(55 оценок)
Это интересно:
Новые ответы от MOGZ: Математика
logo
Вход Регистрация
Что ты хочешь узнать?
Спроси Mozg
Открыть лучший ответ