М
Молодежь
К
Компьютеры-и-электроника
Д
Дом-и-сад
С
Стиль-и-уход-за-собой
П
Праздники-и-традиции
Т
Транспорт
П
Путешествия
С
Семейная-жизнь
Ф
Философия-и-религия
Б
Без категории
М
Мир-работы
Х
Хобби-и-рукоделие
И
Искусство-и-развлечения
В
Взаимоотношения
З
Здоровье
К
Кулинария-и-гостеприимство
Ф
Финансы-и-бизнес
П
Питомцы-и-животные
О
Образование
О
Образование-и-коммуникации
mekhronaismatov
mekhronaismatov
12.03.2021 00:17 •  Математика

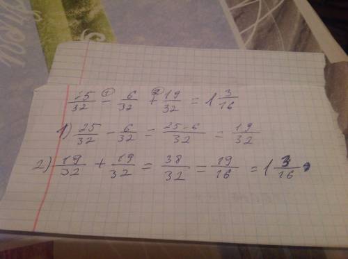
Выполните лействие: 25/32-6/32+19/32 p.s это

👇
Ответ:
nikita71140
nikita71140
12.03.2021
Вот на листочке все написано все понятно и по действиям ))
Выполните лействие: 25/32-6/32+19/32 p.s это
4,8(78 оценок)
Открыть все ответы
Ответ:
axssis00
axssis00
12.03.2021

1)  3 конфеты .

2)  x=15 км.

3)  100 тг.

4) 6 недель.

Пошаговое объяснение:

1)  Было 9 конфет 2/3 из них она съела. Сколько конфет осталось.

Осталось 1-2/3 = 3/3-2/3 = 1/3.

Найдем 1/3 от 9.  9*1/3=3 конфеты  

***

2)  проехала 9 км что составило  3/5 части всего пути.

Найдем 3/5х=9;

x=9:3/5;

x=9*5/3;

x=15 км.

***

3)  Было 1200 тг. Потратила 1/6 часть

и 3/4 часть.   Сколько денег осталось?

Потратила всего

1/6+3/4 =  (2+9)/12=11/12.

Найдем 11/12 от 1200.

1-11/12=1/12 осталось

1200 * 1/12 = 100  тг осталось

или

1/6 от 1200 равно. 1200*1/6 = 200 тг.

3/4 от 1200 равно. 1200*3/4 = 900 тг.

Осталось: 1200-(200+900) = 100 тг.

***

4)  1 бригада  - 9 недель.

Производительность равна 1/9 часть в неделю.

2 бригада 9*2=18 недель

Производительность равна 1/18 часть в неделю.

Совместная производительность равна

1/9+1/18 =   (2+1)/18 = 3/18 = 1/6 часть в неделю

1: 1/6 = 1*6 = 6 недель.

За 6 недель построят дом  две бригады работая совместно.

4,7(10 оценок)
Ответ:
Vikylilaha
Vikylilaha
12.03.2021

1. Дано: ∆ АВС ;   ∟А = 99 гр;

                                                    ∟В = 54 гр; ВД- биссектриса

              ВД= 6,7 см

    Найти: ДС

∟А + ∟В + ∟С = 180 гр по теореме о сумме внутренних углов треугольника

 ∟С = 180 - ∟А - ∟B

 ∟C = 180 – 99– 54

 ∟C = 27 градусов

2. Рассмотрим ∆ ДВС

Так как ВД – биссектриса ∟В по условию, то ∟ВСД = ∟АСВ : 2

 ∟ВСД = 27 : 2

 ∟ВСД = 13,5 градусов

3. В ∆ ДВС   ∟ВСД = 27 гр; ∟С = 27 градусов  → ∆ ДВС  - равнобедренный

ДС = ВД = 6,7 см – боковые стороны равнобедренного треугольника

ответ: ДС = 6,7 см

Пошаговое объяснение:

4,5(37 оценок)
Это интересно:
logo
Вход Регистрация
Что ты хочешь узнать?
Спроси Mozg
Открыть лучший ответ