М
Молодежь
К
Компьютеры-и-электроника
Д
Дом-и-сад
С
Стиль-и-уход-за-собой
П
Праздники-и-традиции
Т
Транспорт
П
Путешествия
С
Семейная-жизнь
Ф
Философия-и-религия
Б
Без категории
М
Мир-работы
Х
Хобби-и-рукоделие
И
Искусство-и-развлечения
В
Взаимоотношения
З
Здоровье
К
Кулинария-и-гостеприимство
Ф
Финансы-и-бизнес
П
Питомцы-и-животные
О
Образование
О
Образование-и-коммуникации
baranovkirill
baranovkirill
18.03.2021 06:31 •  Математика

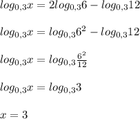
Решить: log0,3 x= 2log0,2 6- log0,3 12

👇
Ответ:
ponyni
ponyni
18.03.2021
ОДЗ:х>0
log_{0,3}x= 2log_{0,3} 6- log_{0,3} 12 \\ \\ log_{0,3}x= log_{0,3} 6^2- log_{0,3} 12 \\ \\ log_{0,3}x= log_{0,3}\frac{6^2}{ 12} \\ \\ log_{0,3}x= log_{0,3}3 \\ \\ x=3
x=3  принадлежит ОДЗ, является корнем уравнения
ответ. 3
4,5(89 оценок)
Открыть все ответы
Ответ:
Westix
Westix
18.03.2021
Сочинение по произведению на тему: Проблема поколений в романе И. С. Тургенева «Отцы и дети»

Приступая к работе над романом “Отцы и дети”, И. С. Тургенев ставил перед собой задачу показать переломный момент в общественном развитии России. Он хотел проститься со старой, уходящей эпохой и встретить эпоху новую, пока еще находящуюся в поисках и метаниях. Роман “Отцы и дети” — это спор двух культур: старой, дворянской, и новой, демократической.
Роман начинается с самой обычной ситуации — приезда из столицы молодого дворянского отпрыска к отцу в деревню. Семья Кирсановых не отличается ни богатством, ни аристократическими связями, ни блистательной родословной. Зато в их роду нет крепостников-самодуров, представителей “барства дикого”. Братья Кирсановы — образованные и добропорядочные люди. Кажется, что в их дворянском гнезде все прочно и спокойно. Однако одновременно рисуется картина глубокого упадка хозяйства Николая Петровича, нищеты его крепостной деревни. По дороге в Марьино Базарову и Аркадию попадались “деревеньки с низкими избенками под темными, часто до половины разметанными крышами, и покривившиеся молотильные сарайчики с плетенными из хвороста стенами и зевающими воротищами возле опустелых гумен, и церкви, то кирпичные с отвалившеюся штукатуркой, то деревянные с наклонившимися крестами и разоренными кладбищами”. Тема кризиса всего крепостного уклада звучит и в горестных сетованиях Николая Петровича, и в размышлениях Аркадия о необходимости преобразований. Тургенев не питает никаких иллюзий относительно общественной роли “отцов”. Показывая почти разоренное поместье Николая Петровича Кирсанова, он отмечает полную хозяйственную бес дворянства, не умеющего при к новым требованиям жизни. “Сил моих нет!” — не раз с отчаянием восклицает Николай Петрович.
Дворянское оскудение находит свое отражение даже в деталях усадебного пейзажа: бедное растительностью место усадьбы Кирсановых, вид голых полей вместо традиционного сада-парка с липовыми аллеями и поэтическими местами. Помещику Кирсанову, хотя он и любит природу, не до ее поэзии. Еще более бес в практических делах, волнующих Николая Петровича, его брат Павел Петрович. На первый взгляд кажется, что это сильный человек, он не опускается, как Николай Петрович, следит за собой и живет по строго заведенному порядку. Но тщательным описанием внешнего облика, одежды Павла Петровича Тургенев показывает, что тот является рабом своих аристократических привычек. Его изысканность и лоск смотрятся несколько комично на фоне окружающей его простой сельской обстановки. Павел Петрович не чужд духовной жизни и культуры. Но культура эта окостенела, от нее остались только устаревшие принципы. Об этом говорит даже описание кабинета Павла Петровича: “...изящный кабинет, оклеенный по стенам красивыми обоями дикого цвета, с развешанным оружием на пестром персидском ковре, с ореховою мебелью, обитой темно-зеленым трипом... с бронзовыми статуэтками на великолепном письменном столе, с камином”. Во всем этом нет жизни, нет души. Этот кабинет никогда не оживляется ни творческой работой, ни спорами. Тургенев осмеивает так называемое славянофильство Павла Петровича, убежденного в том, что русский народ “свято чтит предания”, “не может жить без веры” и отличается патриархальностью. В эпилоге писатель сообщает, что старший Кирсанов “ничего русского не читает, но на письменном столе у него находится серебряная пепельница в виде мужицкого лаптя”. Павел Петрович до мозга костей проникнут аристократизмом, эстетством. Он убежденный противник материализма — отсюда его презрительное отношение к “химикам”, к увлечению естествознанием. Павел Петрович считает себя либералом, но Тургенев показывает ограниченность его так называемого либерализма. Сквозь облик гуманного либерала проступают черты крепостника с его барским пренебрежением к простым людям: разговаривая с крестьянами, он “морщится и нюхает одеколон”.
4,6(30 оценок)
Ответ:
PavlWhite249
PavlWhite249
18.03.2021

Число занятых в промышленности в Великобритании, а затем в США и Германии уже в начале XX в. превысило численность работающих в сельском хозяйстве. Великобритания была впереди всех — 9% населения было занято в сельском хозяйстве в 1911 г. Этот важнейший показатель степени индустриализации страны был иным для Франции и Италии, где большая часть населения продолжала работать в сельском хозяйстве (43% населения во Франции). Около 80% населения России жило сельскохозяйственным трудом. (У нас в учебнике это синим было выделено)

4,8(46 оценок)
Это интересно:
Новые ответы от MOGZ: Математика
logo
Вход Регистрация
Что ты хочешь узнать?
Спроси Mozg
Открыть лучший ответ