М
Молодежь
К
Компьютеры-и-электроника
Д
Дом-и-сад
С
Стиль-и-уход-за-собой
П
Праздники-и-традиции
Т
Транспорт
П
Путешествия
С
Семейная-жизнь
Ф
Философия-и-религия
Б
Без категории
М
Мир-работы
Х
Хобби-и-рукоделие
И
Искусство-и-развлечения
В
Взаимоотношения
З
Здоровье
К
Кулинария-и-гостеприимство
Ф
Финансы-и-бизнес
П
Питомцы-и-животные
О
Образование
О
Образование-и-коммуникации
loko177
loko177
10.10.2021 06:56 •  Математика

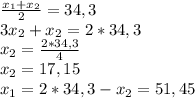
1. среднее арифметическое трех чисел равно 34,3. первое из них в два раза больше третьего. найдите числа. 2. сметана содержит белки, жиры, углеводы в отношении 25: 300: 23. сколько в отдельности белков, жиров и углеводов в 300 гр такой сметаны, если другие вещества составляют 65,2% ее массы?

👇
Ответ:
lissrrtt
lissrrtt
10.10.2021
Первая \frac{x_1+x_2}{2}=34,3 \\ 3x_2+x_2=2*34,3 \\ x_2= \frac{2*34,3}{4} \\ x_2=17,15 \\ x_1=2*34,3-x_2=51,45
Если из 300 гр. 65,2% это не не белки жиры и углеводы то остается только 34,8% это 0,348*300 гр. Причем на один грамм белка приходится \frac{300}{25} жира и \frac{23}{25} углеводов. Значит x*(1+ \frac{300}{25}+ \frac{23}{25} )=0,348*300 \\ x= \frac{0,348*300}{1+ \frac{300}{25}+ \frac{23}{25} } =7,5 \\ 7,5*1=7,5 \\ 7,5*\frac{300}{25}=90 \\ 7,5* \frac{23}{25}=6,9
 белка 7,5 жира 90 и углеводов 6,9 грамм
4,7(97 оценок)
Открыть все ответы
Ответ:
чудик78
чудик78
10.10.2021
Наурыз - это праздник казахского народа. наурыз является новым годом в стране - казахстан, ведь весной природа начинает оживать и обретать новый прекрасный окрас. празднику наурыз уже более трех тысячи лет, этот праздник сохранился еще с тех времен, когда территорию казахстан охватили кочевые племена, населявшие всю страну. праздник наурыз казахи празднуют в марте, точнее весной. перед праздником принято отдавать долги или же продавать старые вещи. главным блюдом праздника является - наурыз коже. наурыз коже блюдо состоящее из семи ингредиентов. в ранее время, кочевники устраивали различные игры, состязания, готовили различные блюда, радуясь новому году. казахи ценят этот праздник и стараются его провести традиционно и весело.
4,5(20 оценок)
Ответ:
evgehafly
evgehafly
10.10.2021

Что бы разрезать блинчик на 4 части,нужно разрезать его крестиком,так как блин обычно круглый,таким образом нужно начертить одну прямую на весь блин,и 2 прямых от длоинной прямой,которая делила бы блин на 2 части.Что бы разрезать блин на 6 части,нужно "нарисовать" своеобразную звёздочку,тоесть разрезать блин вначале напополам,потом ещё раз напополам,и таким образом у нас получтся что то вроде плюсика и что бы закончить работу,нужнопрвести прямую так,что бы она проходила через образовавшийся от плюсика угол.А вот как деоить на 5 и на 7 частей сказать пока что не могу!Надеюсь я хоть чем то

4,4(60 оценок)
Это интересно:
Новые ответы от MOGZ: Математика
logo
Вход Регистрация
Что ты хочешь узнать?
Спроси Mozg
Открыть лучший ответ