М
Молодежь
К
Компьютеры-и-электроника
Д
Дом-и-сад
С
Стиль-и-уход-за-собой
П
Праздники-и-традиции
Т
Транспорт
П
Путешествия
С
Семейная-жизнь
Ф
Философия-и-религия
Б
Без категории
М
Мир-работы
Х
Хобби-и-рукоделие
И
Искусство-и-развлечения
В
Взаимоотношения
З
Здоровье
К
Кулинария-и-гостеприимство
Ф
Финансы-и-бизнес
П
Питомцы-и-животные
О
Образование
О
Образование-и-коммуникации
ИванПро228
ИванПро228
24.03.2022 17:27 •  Математика

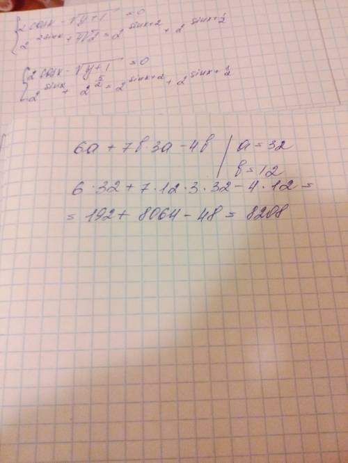
Вычисли значение выражения 6a+7b3a−4b, если a=32, b=12

👇
Ответ:
макс3096
макс3096
24.03.2022
Точно все знаки присутствуют?
Вычисли значение выражения 6a+7b3a−4b, если a=32, b=12
4,5(35 оценок)
Ответ:
cazydays
cazydays
24.03.2022
....,..................
Вычисли значение выражения 6a+7b3a−4b, если a=32, b=12
4,8(100 оценок)
Открыть все ответы
Ответ:
yanochka13kol
yanochka13kol
24.03.2022
В связи с возрастанием масштабов и темпов техногенной деятельности современного общества, обострением социально-экономических проблем, увеличением частоты проявления стихийных бедствий все более актуальными становятся проблемы, связанные с обеспечением безопасности населения и сохранением экологического потенциала окружающей среды. Поэтому одной из главных задач общеобразовательной школы является передача учащимся специальных знаний, формирования у них умений и навыков, необходимых для безопасной жизнедеятельности. Такое обучение осуществляется в рамках курса «Основы безопасности жизнедеятельности» (ОБЖ). 
Одной из главных задач курса «Основы безопасности жизнедеятельности» является воспитание «личности безопасного типа», хорошо знакомой с различными видами экстремальных и чрезвычайных ситуаций, с современными проблемами безопасности жизни и жизнедеятельности человека, осознающей их важность и стремящейся решать эти проблемы, разумно сочетая личные интересы с интересами общества. Изучение курса позволяет учащимся получить систематизированное представление об опасностях, о прогнозировании и поведении в чрезвычайных и опасных ситуациях, оценить влияние последствий этих ситуаций на жизнь и здоровье людей и выработать алгоритмы безопасного поведения с учетом своих возможностей.
В процессе изучения основ безопасности жизнедеятельности производится моделирование ряда опасных ситуаций, с которыми учащиеся могут встретиться в жизни. Таким образом, школьники получают возможность создания модели предстоящих действий, учатся проектировать свои поступки в случае возникновения чрезвычайной ситуации, вкладывая в данный процесс определенный личностный смысл.
Особенность курса ОБЖ состоит в том, что он имеет практическую направленность для подготовки молодежи к жизни. Достаточно часто мы выезжаем на отдых в природные условия. А знаем ли мы, как правильно выбрать место для привала и ночевки, как правильно двигаться по болотистой местности или в горах, что обязательно необходимо взять с собой в поход, как вести себя при встрече с дикими животными, как определить свое местонахождение и маршрут движения, если заблудились. Отдых у водоема летом может оказаться опасным, если не соблюдать правила безопасного поведения, которые изучаются на уроках ОБЖ: не купаться в незнакомых водоемах – можно получить травму, заразиться инфекционным заболеванием, утонуть. Водоем, покрытый льдом, тоже таит в себе много опасностей. Надо знать, по какому льду можно спокойно идти, а по какому нет. Определить это можно по оттенку льда. Все это, а также оказания тонущим людям и первую при утоплении, можно узнать из курса ОБЖ.
Природа непредсказуема. Очень часто возникают чрезвычайные ситуации природного характера, сложившиеся в результате природных явлений (стихийных бедствий). Поэтому людям необходимо знать, что надо выполнить в той или иной ситуации природного характера, чтобы постараться себя, своих близких. Большое количество примеров ЧС природного характера и необходимых действий в этих ситуациях рассматривается на уроках ОБЖ.
Человек – это живое существо, и часто рискует своей жизнью, находясь в среде своего обитания. Предмет ОБЖ в большом объеме рассматривает вопросы, связанные со средой обитания человека, с тем, какие травмы он может получить, как оказать ему первую чтобы сохранить жизнь, как избежать инфекционных заболеваний, как не стать алкоголиком или наркоманом, здоровый образ жизни и его составляющие, как организовать свою жизнь, чтобы жить долго и счастливо.
Любой человек должен быть подготовлен к самостоятельному существованию в природных условиях. Нужно знать, как найти или соорудить временное жилище, уметь любым добыть огонь, развести костер и поддерживать его, уметь обеспечивать себя водой и питанием, знать сигналы бедствия и их подачи ориентирования на местности и умение ими пользоваться.
Современное производство стало сложным и энергоемким. Оно использует огромное количество различных веществ, в том числе и опасных для людей. Теперь любая авария может погубить не только работников самого предприятия, но и окружающее население, которое к нему никакого отношения не имеет. Одна из задач предмета ОБЖ научить человека правильно вести себя при техногенной аварии, чтобы себя и окружающим людям.
Мы живем, не всегда задумываясь, что представляет наша жизнь для нас самих и наших близких. А ведь она у нас одна. Разве не должен каждый современный человек, в том числе и каждый школьник, быть в состоянии оказать в случае необходимости себе и своему близкому? Только грамотный человек быстро оценить ситуацию, принять единственно правильное решение, отчего зависят не только здоровье, но зачастую и жизнь попавшего в беду человека. Вот почему этому необходимо учиться на уроках основ безопасности жизнедеятельности, серьезно относиться ко всему, о чем сообщается на уроках ОБЖ.
4,7(94 оценок)
Ответ:
машад14
машад14
24.03.2022
Общая характеристика репродуктивного здоровья российского общества очень важна для каждого жителя страны. Смена поколений – это основа жизни любого типа организмов, в том числе и человека. Если у животных процесс размножения и продолжения рода основан на природных инстинктах и условиях окружающей среды, то у людей это происходит немного иначе.
Мы наделены разумом, поэтому можем контролировать процесс воспроизводства себе подобных. Важно не только родить здорового малыша, но и воспитать его правильно, чтобы он стал полноправным гражданином своей страны. Репродуктивное здоровье населения – это одна из составляющих здоровья как отдельного индивидуума, так и всех жителей России.

Общая характеристика репродуктивного здоровья российского общества очень важна для каждого жителя страны. Смена поколений – это основа жизни любого типа организмов, в том числе и человека. Если у животных процесс размножения и продолжения рода основан на природных инстинктах и условиях окружающей среды, то у людей это происходит немного иначе.

Мы наделены разумом, поэтому можем контролировать процесс воспроизводства себе подобных. Важно не только родить здорового малыша, но и воспитать его правильно, чтобы он стал полноправным гражданином своей страны. Репродуктивное здоровье населения – это одна из составляющих здоровья как отдельного индивидуума, так и всех жителей России.

4,4(58 оценок)
Новые ответы от MOGZ: Математика
logo
Вход Регистрация
Что ты хочешь узнать?
Спроси Mozg
Открыть лучший ответ