М
Молодежь
К
Компьютеры-и-электроника
Д
Дом-и-сад
С
Стиль-и-уход-за-собой
П
Праздники-и-традиции
Т
Транспорт
П
Путешествия
С
Семейная-жизнь
Ф
Философия-и-религия
Б
Без категории
М
Мир-работы
Х
Хобби-и-рукоделие
И
Искусство-и-развлечения
В
Взаимоотношения
З
Здоровье
К
Кулинария-и-гостеприимство
Ф
Финансы-и-бизнес
П
Питомцы-и-животные
О
Образование
О
Образование-и-коммуникации
nikolajsagirov
nikolajsagirov
28.06.2021 12:42 •  Математика

Из огэ. объясните как можно подробнее.

👇
Ответ:
juwal
juwal
28.06.2021

Пошаговое объяснение:

Проверяем по теореме Пифагора: гипотенуза самая большая сторона.

2)  (V19)^2=2^2+(V15)^2,   19=4+15,  19=19,  ответ: да   (V-корень)

1)(V10)^2=(V5)^2+(V6)^2,  10=5+6,   неверно,  ответ: нет

3) (V11)^2=(V5)^2+(V6)^2  11=5+6,  11=11,  верно, ответ: да и т. д.

4,7(3 оценок)
Ответ:
GangaMarie
GangaMarie
28.06.2021

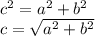
В прямоугольном треугольнике квадрат длины гипотенузы равен сумме квадратов длин катетов.

 {c}^{2} = {a}^{2} + {b}^{2} \\ c = \sqrt{{a}^{2} + {b}^{2}}

Проверяем:

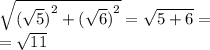
1)

 \sqrt{{( \sqrt{5} )}^{2} + {( \sqrt{6} )}^{2}} = \sqrt{5 + 6} = \\ = \sqrt{11}

не подходит

2)

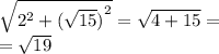
 \sqrt{{2}^{2} + {( \sqrt{15} )}^{2}} = \sqrt{4 + 15} = \\ = \sqrt{19}

подходит

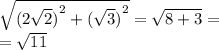
3)

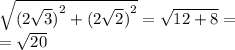
 \sqrt{{( 2\sqrt{2} )}^{2} + {( \sqrt{3} )}^{2}} = \sqrt{8 + 3} = \\ = \sqrt{11}

подходит

4)

 \sqrt{{( 2\sqrt{3} )}^{2} + {(2 \sqrt{2} )}^{2}} = \sqrt{12 + 8} = \\ = \sqrt{20}

не подходит

5)

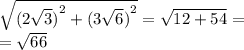
 \sqrt{{( \sqrt{26} )}^{2} + {(2 \sqrt{3} )}^{2}} = \sqrt{26 + 12} = \\ = \sqrt{38}

подходит

6)

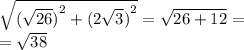
 \sqrt{{( \sqrt{13} )}^{2} + {3}^{2}} = \sqrt{13 + 9} = \\ = \sqrt{22}

не подходит

7)

 \sqrt{{( 2\sqrt{3} )}^{2} + {( 3\sqrt{6} )}^{2}} = \sqrt{12 + 54} = \\ = \sqrt{66}

не подходит

ответ: 2, 3 и 5

4,5(4 оценок)
Открыть все ответы
Ответ:
nikTNG
nikTNG
28.06.2021
1. Равенства, выражающие свойства умножения:
a. Сочетательное свойство умножения: a ⋅ (b ⋅ c) = (a ⋅ b) ⋅ c
b. Распределительное свойство умножения относительно сложения: a ⋅ (b + c) = a ⋅ b + a ⋅ c
c. Распределительное свойство умножения относительно вычитания: a ⋅ (b - c) = a ⋅ b - a ⋅ c

2. Решение примеров:
a. 25 ⋅ 78 ⋅ 4 = (25 ⋅ 4) ⋅ 78 = 100 ⋅ 78 = 7800
b. 49 ⋅ 9 + 21 ⋅ 9 = (49 + 21) ⋅ 9 = 70 ⋅ 9 = 630
c. 2 ⋅ 49 ⋅ 50 = 2 ⋅ (49 ⋅ 50) = 2 ⋅ 2450 = 4900
d. 316 ⋅ 5 − 216 ⋅ 5 = (316 − 216) ⋅ 5 = 100 ⋅ 5 = 500
e. 3 ⋅ 5 ⋅ 8 ⋅ 3 = (3 ⋅ 3) ⋅ (5 ⋅ 8) = 9 ⋅ 40 = 360
f. 239 ⋅ 47 + 239 ⋅ 53 = 239 ⋅ (47 + 53) = 239 ⋅ 100 = 23900

3. Упрощение выражений:
a. 2 ⋅ x ⋅ 15, если x = 3: 2 ⋅ 3 ⋅ 15 = 6 ⋅ 15 = 90
b. 27x − 19x, если x = 6: 27 ⋅ 6 − 19 ⋅ 6 = 162 − 114 = 48
c. 6 ⋅ a ⋅ 13 ⋅ b = 6 ⋅ 13 ⋅ a ⋅ b = 78 ⋅ a ⋅ b
d. 32y − 14y + y, если y = 5: 32 ⋅ 5 − 14 ⋅ 5 + 5 = 160 − 70 + 5 = 95

4. Проверка неравенств:
a. 5 ⋅ 324 ⋅ 20 > 5 ⋅ 7 ⋅ 9 ⋅ 5 ⋅ 2: 5 ⋅ 324 ⋅ 20 = 8100 > 5 ⋅ 7 ⋅ 9 ⋅ 5 ⋅ 2 = 3150 (верно)
b. 2 ⋅ 2 ⋅ 5 ⋅ 57 ⋅ 5 > 5 ⋅ 56 ⋅ 20: 2 ⋅ 2 ⋅ 5 ⋅ 57 ⋅ 5 = 1140 > 5 ⋅ 56 ⋅ 20 = 5600 (неверно)
c. 14 ⋅ 3 ⋅ 25 ⋅ 5 ⋅ 8 < 7 ⋅ 3 ⋅ 3 ⋅ 10 ⋅ 25 ⋅ 4: 14 ⋅ 3 ⋅ 25 ⋅ 5 ⋅ 8 = 4200 < 7 ⋅ 3 ⋅ 3 ⋅ 10 ⋅ 25 ⋅ 4 = 6300 (верно)

5. Умножение:
a. 2 км 56 м ⋅ 68 = (2 ⋅ 1000 + 56) ⋅ 68 = 2056 ⋅ 68 = 139648
b. 3 т 5 ц 65 кг ⋅ 5 = (3 ⋅ 1000 + 5 ⋅ 100 + 65) ⋅ 5 = 35065 ⋅ 5 = 175325
c. 4 сут 6 ч 12 мин ⋅ 11 = (4 ⋅ 24 + 6) ⋅ 11 = 102 ⋅ 11 = 1122
4,4(59 оценок)
Ответ:
sofia060506
sofia060506
28.06.2021
Добрый день! Рассмотрим каждое утверждение по отдельности и попытаемся найти верные варианты ответа.

1) Прямая перпендикулярна плоскости, если она перпендикулярна лежащим в этой плоскости двум сторонам ромба.

Чтобы определить, является ли прямая перпендикулярной плоскости, необходимо проверить, перпендикулярна ли она каждой стороне ромба, лежащей в этой плоскости.
Возьмем рассмотрение пример ромба, где каждая сторона имеет некоторую длину. Если мы возьмем прямую, которая проходит через середину ромба и перпендикулярна одной из сторон, она будет перпендикулярна и другой стороне, так как существует особенность ромба - его стороны параллельны и равны.

2) Прямая, перпендикулярная к двум непараллельным хордам круга, перпендикулярна к его плоскости.

Чтобы прямая была перпендикулярна к плоскости, она должна быть перпендикулярна к каждой линии, находящейся в этой плоскости. В случае с кругом, если мы возьмем две непараллельные хорды (отрезки, соединяющие две точки на окружности), и проведем прямую, которая будет перпендикулярна обеим хордам, то она также будет перпендикулярна и плоскости круга.

3) Все предыдущие утверждения неверны.

Это утверждение указывает на то, что ни одно из предыдущих утверждений не является верным.

4) Если прямая перпендикулярна к одной из двух параллельных плоскостей, то она перпендикулярна и к другой.

Если прямая перпендикулярна к одной из параллельных плоскостей, то она будет перпендикулярна и к другой плоскости, так как параллельные плоскости имеют одинаковый угол наклона.

Исходя из данного анализа, можно сделать вывод:

- Верными являются утверждения 1 (пояснение), 2 (пояснение) и 4 (пояснение).
- Утверждение 3 (пояснение) неверно.

Надеюсь, это поможет вам понять и выбрать верные утверждения данного вопроса. Если у вас есть еще какие-либо вопросы или нужно прояснить что-то, пожалуйста, напишите.
4,4(57 оценок)
Новые ответы от MOGZ: Математика
logo
Вход Регистрация
Что ты хочешь узнать?
Спроси Mozg
Открыть лучший ответ