М
Молодежь
К
Компьютеры-и-электроника
Д
Дом-и-сад
С
Стиль-и-уход-за-собой
П
Праздники-и-традиции
Т
Транспорт
П
Путешествия
С
Семейная-жизнь
Ф
Философия-и-религия
Б
Без категории
М
Мир-работы
Х
Хобби-и-рукоделие
И
Искусство-и-развлечения
В
Взаимоотношения
З
Здоровье
К
Кулинария-и-гостеприимство
Ф
Финансы-и-бизнес
П
Питомцы-и-животные
О
Образование
О
Образование-и-коммуникации
kostyatar2016
kostyatar2016
27.03.2021 18:51 •  Математика

Оля и ваня вместе собрали паззл за 4 дня.сколько дней ваня собирал бы паззл самостоятельно,если оля может собрать этот паззл на 15 дней быстрее,чем ваня?

👇
Ответ:
Kloloko
Kloloko
27.03.2021
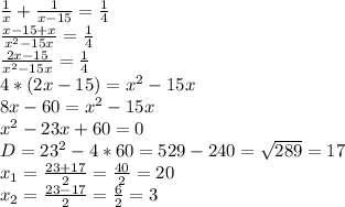
\frac{1}{4} часть паззла собрали вместе за один день
\frac{1}{x} часть паззла собирает Ваня за один день
\frac{1}{x-15}часть паззла собирает Оля за один день

\frac{1}{x} + \frac{1}{x-15} = \frac{1}{4} \\ \frac{x-15+x}{ x^{2} -15x} = \frac{1}{4} \\ \frac{2x-15}{ x^{2} -15x} = \frac{1}{4} \\ 4*(2x-15)= x^{2} -15x \\ 8x-60= x^{2} -15x \\ x^{2} -23x+60=0 \\ D= 23^{2} -4*60=529-240= \sqrt{289} =17 \\ x_{1} = \frac{23+17}{2} = \frac{40}{2} =20 \\ x_{2} = \frac{23-17}{2} = \frac{6}{2} =3

По условию задачи подходит только один корень уравнения
ответ:20 дней будет собирать паззл Ваня
4,7(38 оценок)
Открыть все ответы
Ответ:
Dashakrasaveta
Dashakrasaveta
27.03.2021

Обратное утверждение или обратная теорема - это такая формулировка исходной (прямой) теоремы, где условие и заключение переставлены местами.

Прямое утверждение: Каждое число, которое можно представить в виде отношения двух целых чисел, является рациональным.

Обратное утверждение: Число, которое является рациональным, можно представить в виде отношения двух целых чисел.

Да, утверждение является истинным, поскольку все рациональные числа - это как целые числа, так и дроби (которые и являются отношением двух целых чисел).

4,6(23 оценок)
Ответ:
regenko1
regenko1
27.03.2021

Крольчонок=520

501.8075+4.75*(3.172+0.658)=520

1. (3.172+0.658)=3.83

2. 4.75*3.83=18.1925

3. 501.8075+18.1925=520

Цыпленок=180

235.89-1.38*(275.4/6.8)=180

1. (275.4/6.8)=40.5

2. 1.38*40.5=55.89

3. 235.89-55.89=180

Бельчонок=227

173.9/(15-14.26)-100/12.5 =227

1. (15-14.26)=0.74

2. 173.9/0.74=235

3. 100/12.5=8

4.  235-8=227

Щенок=219

216.5+19.3325/(8-0.267)=219

1. (8-0.267)=7.733

2. 216.5+19.3325=235.8325

3. 235.8325/7.733=219

Ёжик=90

176.8/5.2+263.2/4.7=90

1. 176.8/5.2=34

2. 263.2/4.7=56

3. 34+56=90

Совенок=371

(8.1/3.6*8.4-4.9)*26.5=371

1. (8.1/3.6*8.4-4.9)=14

2. 14*26.5=371

Слоненок=200

201.5-21.2403/14.1602=200

1. 21.2403/14.602=1.5

2. 201.5-1.5=200

4,7(57 оценок)
Новые ответы от MOGZ: Математика
logo
Вход Регистрация
Что ты хочешь узнать?
Спроси Mozg
Открыть лучший ответ