М
Молодежь
К
Компьютеры-и-электроника
Д
Дом-и-сад
С
Стиль-и-уход-за-собой
П
Праздники-и-традиции
Т
Транспорт
П
Путешествия
С
Семейная-жизнь
Ф
Философия-и-религия
Б
Без категории
М
Мир-работы
Х
Хобби-и-рукоделие
И
Искусство-и-развлечения
В
Взаимоотношения
З
Здоровье
К
Кулинария-и-гостеприимство
Ф
Финансы-и-бизнес
П
Питомцы-и-животные
О
Образование
О
Образование-и-коммуникации
liliakhalilova
liliakhalilova
26.09.2021 12:35 •  Математика

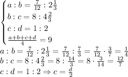
Найдите числа a b c и d,a: b=7/12: 2 1/3,b: c=8: 4 2/3,c: d=1: 2.а среднее арифметическое этих четырёх чисел равно 9

👇
Ответ:
zhenya4534
zhenya4534
26.09.2021

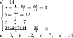
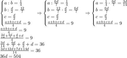
\begin{cases} a:b=\frac{7}{12}:2\frac13\\ b:c=8:4\frac23\\ c:d=1:2\\ \frac{a+b+c+d}4=9 \end{cases}\\ a:b=\frac{7}{12}:2\frac13=\frac7{12}:\frac73=\frac7{12}\cdot\frac37=\frac14\\ b:c=8:4\frac23=8:\frac{14}3=8\cdot\frac3{14}=\frac{12}{7}\\ c:d=1:2\Rightarrow c=\frac d2\\

\begin{cases} a:b=\frac14\\ b:\frac d2=\frac{12}7\\ c=\frac d2\\ \frac{a+b+c+d}4=9 \end{cases}\Rightarrow \begin{cases} a:\frac{6d}7=\frac14\\ b=\frac{12}7\cdot\frac d2=\frac{6d}7\\ c=\frac d2\\ \frac{a+b+c+d}4=9 \end{cases}\Rightarrow \begin{cases} a=\frac14\cdot\frac{6d}7=\frac{3d}{14}\\ b=\frac{6d}7\\ c=\frac d2\\ \frac{a+b+c+d}4=9 \end{cases}\\ \frac{a+b+c+d}4=9\\ \frac{\frac{3d}{14}+\frac{6d}{7}+\frac{d}{2}+d}{4}=9\\ \frac{3d}{14}+\frac{6d}{7}+\frac{d}{2}+d=36\\ \frac{3d+12d+7d+14d}{14}=36\\ 36d=504\\

d=14\\ \begin{cases} a=\frac14\cdot\frac{6d}7=\frac{3d}{14}=3\\ b=\frac{6d}7=12\\ c=\frac d2=7\\ \frac{3+12+7+14}4=\frac{36}4=9 \end{cases}\\a=3,\quad b=12,\quad c=7,\quad d=14

4,4(24 оценок)
Ответ:
koschka2000
koschka2000
26.09.2021
Для решения данной задачи, нам нужно найти числа a, b, c и d, учитывая указанные отношения и условие, что их среднее арифметическое равно 9.

1) Начнем с нахождения значения числа a:
Из условия задачи известно, что a : b = 7/12 : 2 1/3.
Для удобства, сначала приведем 2 1/3 к несократимой дроби:
2 1/3 = 2 + 1/3 = 6/3 + 1/3 = 7/3.
Теперь можем записать равенство: a : b = 7/12 : 7/3.
Для деления дроби на дробь, мы переворачиваем делитель и умножаем: a : b = (7/12) * (3/7).
Здесь дробь 7/7 в числителе и знаменателе сокращается:
a : b = (1/12) * 3.
Выполняя умножение, получаем:
a : b = 3/12.
Для сокращения дроби, мы делим числитель и знаменатель на их наибольший общий делитель, равный 3:
a : b = 1/4.

2) Теперь найдем значение числа b.
Из условия задачи известно, что b : c = 8 : 4 2/3.
Для удобства, приведем 4 2/3 к несократимой дроби:
4 2/3 = 4 + 2/3 = 12/3 + 2/3 = 14/3.
Теперь можем записать равенство: b : c = 8 : 14/3.
Для деления дроби на дробь, мы переворачиваем делитель и умножаем: b : c = (8/1) * (3/14).
Умножаем числители и знаменатели:
b : c = 24/14.

3) Найдем значение числа c.
Из условия задачи известно, что c : d = 1 : 2.
Для деления дроби на дробь, мы переворачиваем делитель и умножаем: c : d = 1/(1/2).
Перевернув делитель, получаем: c : d = 1 * 2/1.
Умножаем числители и знаменатели:
c : d = 2.

4) Находим значение числа d.
Из условия задачи известно, что среднее арифметическое чисел a, b, c и d равно 9.
Среднее арифметическое можно найти, сложив все числа и поделив на их количество. В данном случае у нас 4 числа:
(a + b + c + d)/4 = 9.
Подставляем значения a : b, b : c и c : d, которые мы нашли на предыдущих шагах:
(1/4 + 24/14 + c + d)/4 = 9.
Для удобства, приведем 24/14 к несократимой дроби:
24/14 = (2 * 12) / (2 * 7) = 12/7.
Продолжаем вычисления:
(1/4 + 12/7 + c + d)/4 = 9.
Для сложения дробей с разными знаменателями, мы должны привести их к общему знаменателю. В данном случае, это 4 * 7 = 28:
(1 * 7/4 * 7 + 12 * 4/7 * 4 + c + d)/4 = 9.
(7/28 + 48/28 + c + d)/4 = 9.
Теперь можем объединить дроби в числителе:
(55/28 + c + d)/4 = 9.
Умножаем обе части уравнения на 4:
55/28 + c + d = 36.
Вычитаем 55/28 из обеих частей уравнения:
c + d = 36 - 55/28.
Для удобства, приведем 36 к дроби с общим знаменателем 28:
36 = 36 * 28/28 = 1008/28.
Продолжаем вычисления:
c + d = 1008/28 - 55/28 = (1008 - 55)/28 = 953/28.

Итак, мы нашли значения чисел a : b, b : c, c : d и c + d.
Запишем результаты:
a : b = 1/4,
b : c = 24/14,
c : d = 2,
c + d = 953/28.

Надеюсь, этот развернутый ответ поможет вам понять решение этой задачи, школьник! Если у вас возникнут еще вопросы или неясности, пожалуйста, сообщите мне, и я буду рад помочь вам.
4,4(93 оценок)
Проверить ответ в нейросети
Это интересно:
Новые ответы от MOGZ: Математика
logo
Вход Регистрация
Что ты хочешь узнать?
Спроси Mozg
Открыть лучший ответ