М
Молодежь
К
Компьютеры-и-электроника
Д
Дом-и-сад
С
Стиль-и-уход-за-собой
П
Праздники-и-традиции
Т
Транспорт
П
Путешествия
С
Семейная-жизнь
Ф
Философия-и-религия
Б
Без категории
М
Мир-работы
Х
Хобби-и-рукоделие
И
Искусство-и-развлечения
В
Взаимоотношения
З
Здоровье
К
Кулинария-и-гостеприимство
Ф
Финансы-и-бизнес
П
Питомцы-и-животные
О
Образование
О
Образование-и-коммуникации
Куземченко
Куземченко
15.08.2022 10:57 •  Математика

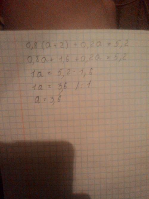
0,8(a+2)+0,2a=5,2 условие решите уравнение

👇
Ответ:
0,8(a+2)+0,2a=5,2 ; 0,8а+1,6+0,2а=5,2; а=5,2-1,6; а=3,6
4,4(50 оценок)
Ответ:
lilo2622
lilo2622
15.08.2022
Вот ,держи)))))))))))))))))
0,8(a+2)+0,2a=5,2 условие решите уравнение
4,6(54 оценок)
Открыть все ответы
Ответ:
Milana29012000
Milana29012000
15.08.2022
В лесной школе 14 учеников

                               Ежи <  Белки < Зайцы
                                 х            а            х+5    всего 14
если ежей 1            1            7               6  
это не верно, т.к. белок должно быть меньше чем зайцев

если ежей 2            2            5                7 
подходит, все условия соблюдены

если ежей 3            3             3                8
по условию не подходит Белок должно быть больше ежей

Дальше нет смысла проверять.

Вариант ответа один

Ежа 2, Белок 5, Зайцев 7  
4,8(1 оценок)
Ответ:
SemyaTanya
SemyaTanya
15.08.2022
Условие задачи звучит так:
В лесной школе 14 учеников : ежи, зайцы и белки. Меньше всего в школе ежей, а больше всего зайцев : их на 5 больше, чем ежей. 
Сколько в лесной школе зайцев, белок и ежей?
Решение: 
В лесной школе 14 учеников
                               Ежи <  Белки < Зайцы
                                 х            а            х+5    всего 14
если ежей 1            1            7               6   
это не верно, т.к. белок должно быть меньше чем зайцев

если ежей 2            2            5                7 
подходит, все условия соблюдены

если ежей 3            3             3                8
по условию не подходит Белок должно быть больше ежей

Дальше нет смысла проверять.

Вариант ответа один
Ежа 2, Белок 5, Зайцев 7  
4,8(93 оценок)
Это интересно:
Новые ответы от MOGZ: Математика
Полный доступ к MOGZ
Живи умнее Безлимитный доступ к MOGZ Оформи подписку
logo
Вход Регистрация
Что ты хочешь узнать?
Спроси Mozg
Открыть лучший ответ